Необходимость и обязанность снижения скорости
при расследовании дорожно-транспортных происшествий
Методические рекомендации
для экспертов, дознавателей, следователей, прокуроров, судей и адвокатов
1. Область применения методики
Правила дорожного движения для водителей прямо или косвенно содержат требования снижения скорости в следующих ситуациях:
— раздел 3: в отношении транспортных средств с включенным проблесковым маячком синего цвета и специальным звуковым сигналом;
— раздел 6: на запрещающий сигнал светофора или регулировщика;
— раздел 8: при маневрировании;
— раздел 10: при выборе скорости и возникновении опасности для движения;
— раздел 11: при обгоне или опережении;
— раздел 13: при проезде перекрестков;
— раздел 14: при проезде пешеходных переходов;
— раздел 15: при проезде железнодорожных переездов;
— раздел 18: в отношении марщрутных транспортных средств;
Предлагаемая методика является универсальной для всех случаев, в которых исследуется и оценивается необходимость снижения скорости в конкретной дорожно-транспортной ситуации (ДТС).
2. Виды дорожно-транспортных ситуаций
Виды ДТС, связанных с необходимостью снижения скорости, вытекают и формулируются из прописанных в Правилах дорожного движения алгоритмов и представляются следующими.
— Наиболее простой ситуацией является такая, при которой водитель оказывает минимальное воздействие на органы управления (рулевое колесо, педали тормоза и акселератора). Скорость движения при этом находится в соответствии с видимостью элементов дороги, состоянием и качества покрытия, обеспечивая комфортность в салоне. Ситуация сопоставима с движением по прямой, или закруглению с большим радиусом, при отсутствии каких-либо объектов, способных даже в минимальной степени создать опасность. При данной ситуации водитель действует согласно своему внутреннему состоянию и убеждению. Движение транспортного средства при указанных условиях можно сравнить с транспортным средством, движущимся с использованием системы «круиз-контроль». Условно такую дорожно-транспортную ситуацию следует квалифицировать как безопасная. Следует отметить, что такая ситуация возможна на определенно ограниченном пространстве как по времени, так и по расстоянию, поскольку водитель и его автомобиль выступают в процессе движения не единолично, а в системе и совокупности с другими участниками движения и изменяющимися дорожными условиями.
— Следующая стадия развития и усложнения дорожно-транспортной ситуации наступает в момент, при котором в поле зрения водителя появляются объекты, требующие обязательного внимания, и которые потенциально способны стать препятствием, не являясь в данный момент таковым. Такие объекты заранее представляют водителю информацию о возможном изменении ситуации на дороге. В этом случае от водителя не требуется принятия каких-либо экстренных мер по изменению скорости или направления движения. К таким ситуациям можно отнести преднамеренную запланированную остановку, движение по радиусу без воздействия на водителя и пассажиров ощутимых центробежных нагрузок или плавное изменение траектории движения. В большинстве случаев действия водителя не выходят за рамки комфортных условий, и в процессе управления водителю многократно приходится прибегать к изменению как направления движения, так и скорости. В данной ситуации водитель заблаговременно располагает информацией о месте пересечения пути управляемого им транспортного средства с другим объектом или о месте расположения препятствия. Условно такую дорожно-транспортную ситуацию следует квалифицировать как штатная. Сохранение водителем прежнего темпа и направления движения может привести к возникновению опасности для движения.
— Дальнейшее изменение дорожно-транспортной ситуации может быть вызвано как усложнением штатной, в результате бездействия водителя, так и возникнуть самостоятельно в случае, если он заблаговременно не располагал информацией об изменяющейся ситуации или о наличии препятствия на полосе своего движения. Бездействие водителя, в данном случае, заключается в непринятии адекватных действий по снижению, увеличению скорости или изменению направления движения в комфортных для себя и пассажиров условиях. Непринятие водителем мер при заблаговременном получении информации об усложнении ситуации, равно как и несвоевременное получение необходимой информации, ведет к переходу от штатной дорожно-транспортной ситуации к некоей другой, при которой с целью недопущения дорожно-транспортного происшествия от водителя потребуется применение более жестких мер по управлению транспортным средством. Данная ситуация квалифицируется как опасная. При ее возникновении водитель должен руководствоваться требованиями абзаца 2 п.10.1 Правил дорожного движения, согласно которому единственным способом для предотвращения происшествия является «снижение скорости вплоть до остановки». Выполнение маневра, как способа предотвращения дорожно-транспортного происшествия, Правилами движения не предусмотрено. Таким образом, действуя в рамках требований Правил, водитель при возникновении опасной ситуации и заблаговременном получении информации о ее возникновении должен располагать технической возможностью предотвратить дорожно-транспортное происшествие.
— Вместе с тем, в силу иных причин дорожно-транспортная ситуация может развиваться таким образом, что водитель, используя меры и способы, регламентированные Правилами, не располагает технической возможностью предотвратить дорожно-транспортное происшествие. Такая ситуация переходит в стадию аварийная. Поскольку в такой ситуации Правила дорожного движения не регламентируют перечень действий, которые необходимо предпринять водителю в целях предотвращения дорожно-транспортного происшествия, то, с технической точки зрения, при ее возникновении, кроме снижения скорости, водитель вправе принимать и другие меры, в частности, маневр или увеличение скорости.
Краткая характеристика дорожно-транспортных ситуаций:
— безопасная ДТС (снижения скорости не требуется);
— штатная ДТС (служебное торможение, привычные действия);
— опасная ДТС (необходимо экстренное торможение);
— аварийная ДТС (любые меры на усмотрение водителя).
3. Механизм ДТП
Следует знать общую формулу механизма ДТП, который состоит из трех стадий:
— сближение;
— взаимодействие;
— отброс.
Поскольку событие ДТП протекает в приведенной последовательности (прямой), то расследование проводится в обратной.
Стадия отброса фиксируется осмотром места ДТП.
Стадия взаимодействия устанавливается экспертным путем (положение в момент контакта, место контакта на дороге, скорости в момент контакта, траектории в момент контакта и др.).
Совокупная информация второй и третьей стадий позволяет понять, смоделировать и представить ситуацию на первой стадии – стадии сближения, которая и является критерием для оценки действий водителей на предмет соответствия действий установленным требованиям.
4. Базовый принцип для принятия решений
Следует принять аксиому о том, что исследование и оценка действий водителей проводится только в рамках Правил, как основного законодательного акта о дорожном движении, из которого следует, что:
п.1.3: Участники дорожного движения обязаны знать и соблюдать относящиеся к ним требования Правил, сигналов светофоров, знаков и разметки, а также выполнять распоряжения регулировщиков, действующих в пределах предоставленных им прав и регулирующих дорожное движение установленными сигналами.
Отсюда основой для разрешения конфликтов является принцип соблюдения Правил дорожного движения, как совокупности общественных отношений, на стадии сближения всеми участниками ДТП, а не по отдельности.
Каждый участник дорожного движения, взаимодействуя с остальными и соблюдая требования Правил, вправе рассчитывать на то, что в отношении него эти требования также выполняются.
Кроме того, в автошколах не преподается навык определения скорости движущихся по дороге объектов. Водитель, уступающий дорогу, исходит только из мгновенно определяемого расстояния (далеко или близко) и характеристик своего транспорта, скорость остальных для него – константа.
Если участник движения на стадии сближения исключил себя из общественных отношений (вышел за рамки Правил), то Правила в отношении него ничтожны, а следовательно, он не имеет (лишил себя сам) преимущества или приоритетного права проезда.
Поэтому исследование и оценка действий (дознанием, следствием, экспертизой, судом) должны быть сделаны только в рамках Правил, иначе лица, ведущие расследование отдельно для каждого участника без совокупности связей алгоритма безопасности в целом, теряют независимость и автоматически становятся соучастниками одной из сторон конфликта, при этом своими неверными решениями допуская (разрешая) нарушения Правил в будущем.
5. Положения для объективного подхода к расследованию
Объективный подход заключается в шести положениях:
1-е. Установление механизма ДТП в полном объеме (обязательное условие – установление скоростей).
2-е. Графическое визуальное представление местоположений участников ДТП на стадии сближения в конкретные моменты времени.
3-е. Моделирование действий участников, находящихся в рамках Правил (техническая возможность своевременного снижения скорости или остановки, выход препятствия за пределы опасной зоны).
4-е. Квалификация дорожно-транспортной ситуации на стадии сближения по результатам моделирования.
5-е. Суждение о пунктах Правил, выполнение которых исключало ДТП.
6-е. Техническое исследование причинной связи между действиями участников и наступившими последствиями.
6. Причинная связь, вытекающая из ДТС
— Безопасная ДТС после моделирования определяется тем, что водителю, на первый взгляд имевшему преимущество в движении, для исключения столкновения или наезда, не требовалось вообще каких-либо мер по снижению скорости в момент появления препятствия на его полосе движения, или по-другому, водитель, на первый взгляд должный уступить дорогу, не создавал помех на этой полосе (например, при своей скорости он мог ее пересечь, обеспечив при этом безопасный интервал для первого). При установлении экспертами такой ДТС исчезают требование «Уступить дорогу» для второго и понятие «Опасность для движения» для первого. Отсюда причиной ДТП являются действия (бездействия) водителя, на первый взгляд имевшего преимущество в движении (в основном, вследствие превышения скорости).
— Штатная ДТС определяется тем, что для предотвращения столкновения или наезда водителю, имевшему преимущество, не требовалось экстренных мер, а было достаточно применить служебное (не экстренное) торможение, то есть привычные штатные действия. В этой ситуации оценка причины ДТП аналогична безопасной ДТС, исходя из совокупности общественных отношений.
— Опасная ДТС определяется тем, что водитель, имевший преимущество, мог предотвратить столкновение или наезд только экстренными мерами (торможение с блокировкой колес или торможение на грани блокировки). В этой ситуации причиной ДТП следует считать действия обоих участников в равной степени (50/50). Это вытекает из того, что Правила не содержат степень значимости одного требования над другим.
— Аварийная ДТС определяется тем, что водитель, имевший преимущество, не мог предотвратить столкновение или наезд экстренными мерами. Правила в такой ситуации не регламентируют действия водителя, но в этом случае, необходимо обязательно установить скорость при экстренном торможении в момент удара для оценки тяжести последствий (например, могла или нет наступить смерть пассажира при выполнении нормативных требований).
7. Служебное и экстренное торможение
Главным отличием между приведенными интенсивностями снижения скорости является то, что при экстренном торможении шина колеса скользит по поверхности дороги, а при служебном – катится.
При работе антиблокировочной системы колесо находится на границе между скольжением и качением, поэтому верхним критерием для служебного торможения рекомендуется величина замедления, равная не более 95% от величины замедления при экстренном торможении.
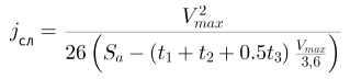
Замедление на участке пути, равном удалению ТС от заданной точки или рубежа, определяется по формуле:

здесь
Vmax – максимально разрешенная скорость ТС на данном участке дороги, км/ч, в случае ее превышения; (при меньшей скорости принимается фактическое значение);
Sa – удаление ТС от заданной точки или рубежа в определяемый момент времени в соответствии с требованиями Правил, м;
Здесь следует принять во внимание то, что если расстояние удаления определено по факту (например, из видео), а в этот момент скорость была превышена, то применяемая в моделировании величина удаления принимается та, что должна быть в соответствии с требованиям Правил по скоростному режиму на данном участке дороги (то есть по факту одна, а должная быть иная).
t1 – время реакции водителя на изменение ДТС, с; (при переключении на желтый сигнал с зеленого мигающего принимается равным 0,3 с, как простая сенсомоторика, поскольку водитель заранее подготовлен; в остальных случаях согласно методическим рекомендациям);
t2 – время запаздывания срабатывания тормозного привода, с;
t3 – время нарастания замедления в тормозном приводе, с;
Нормативная величина замедления принимается равной средней из интервала значений коэффициента сцепления на данном состоянии покрытия с учетом ускорения силы тяжести (например, для сухого асфальта коэффициент сцепления составляет 0,7..0,8, что с учетом величины 9,81 м/с2 дает среднее значение 7,4 м/с2).
Вывод о возможности остановки служебным торможением основывается на сравнении величин jсл и 0.95 jнорм
Пример по разделу 7.
Столкновение на перекрестке двух ТС при их встречном сближении. ТС-1 двигалось прямо, а ТС-2 поворачивало налево. На первый взгляд водитель ТС-2 должен был уступить дорогу. По видео было установлено, что в момент включения желтого сигнала ТС-1 располагалось на удалении 20 м от стоп-линии, но в этой точке его скорость (определена также из видео) составляла 120 км/ч (при разрешенной на данном участке дороги 60 км/ч). Отсюда следует суждение, что водитель ТС-1 на стадии сближения находился за рамками Правил, поэтому принимаемая для оценки действий величина удаления должна составлять в два раза больше фактической, то есть 40 м, как оказалось при расчетах – достаточная для остановки служебным торможением и выполнения п.6.13 Правил.
8. Тяжесть последствий
Тяжесть последствий является критерием при возбуждении уголовных дел, а также при гражданских спорах, поэтому эксперты как технические специалисты должны принимать в этом участие. Биомеханика как судебная наука в России отсутствует, поэтому степень повреждений как материальных, так и телесных, определяется лишь по факту, но не моделируется при иных условиях (например, что было бы при заданных условиях).
Для установления нормативов безопасности автомобилей используются ударные испытания (краш-тесты), в которых регистрируются силовые нагрузки на специальные манекены. По мировым стандартам испытания проводятся при скоростях удара 56..64 км/ч. Из этих испытаний следует базовая для оценки тяжести последствий формула: ни один манекен при таких скоростях удара не получил силовую нагрузку, вызвавшую «смерть». Этот критерий может быть использован и приведен в экспертных исследованиях. Относительно механических повреждений также возможно техническое моделирование с использованием краш-тестов и получение вывода с определенной вероятностью.
Скорость в момент удара из существующих экспертных методик может быть определена достаточно легко и точно, но при исследовании необходимо учесть то, что скорость удара при испытаниях в неподвижный барьер идентична сумме скоростей при ДТП, приведенных к одному направлению (прямой траектории).
9. Измерения ускорений и замедлений
При необходимости, в современное время, ускорения и замедления могут быть измерены акселерометром, имеющимся в каждом смартфоне. Главное, чтобы он был закреплен на автомобиле неподвижно. Кроме программы самого акселерометра дополнительно необходима программа записи с экрана для фиксации показаний. Все эти программы общедоступны.
Ваши голоса очень важны и позволяют выявлять действительно полезные материалы, интересные широкому кругу профессионалов. При этом бесполезные или откровенно рекламные тексты будут скрываться от посетителей и поисковых систем (Яндекс, Google и т.п.).
↓ Читать полностью ↓
Уважаемый Виталий Зиновьевич, есть еще один пример из экспертной практики, когда в одном из ДТП водитель легкового автомобиля, двигавшегося по своей полосе, настречу к нему по встречной полосе автопоезд проводил обгон колонны из 5-ти транспортных средств. Чтоб уйти от лобового столкновения с автопоездом, водитель легкового автомобиля был вынужден совершить маневр отворота с выездом на правую обочину, в результате которого при возвращении на свою полосу движения после встрчного разъезда с автопоездом, его автомобиль занесло и вынесло на встречную полосу движения, где он совершил столкновение со встречным легковым автомобилем. Как мне объяснил, что данное ДТП расследовал один из лучших следователей, который всю вину ответственности за ДТП возложил на водителя легового автомобиля, пользовавшего преимущм в движении, а именно в нарушении пунктов ПДД РФ дословно из обвинительного заключения следоваетеля: «п.п. 1.4, 1.5, 8.1, 9.1, 9.9, 10.1, 10.3 ПДД РФ», когда автопоезд совершал колонну автомобилей, двигавшихся со скоростью из обвинительного заключения 80 км/ч, то есть автопоезд мог совершать обгон колонны из 5-ти ТС со скоростью не менее 100 км/ч, когда согласно п. 10.3 ПДД РФ, автопоезду разрешено движение со скоростью не более 70 км/ч и в момент встречного разъезда с легковым автомобилем, автопоезд находился на встречной полосе движения из видеозаписи с видеорегистратора из салона легкового автомобиля, который до момента встречного разъезда двигался со скоростью 101 км/ч, установленного экспертом из видеозаписи, то есть превышение составляло 11 км/ч от допустимого, а у автопоезда было превышение не менее 30 км/ч, а если бы следователь поставил вопрос эксперту, то я думаю что данная превышенная скорость от допустимого могла составить не менее 40 км/ч. Из материалов дела в отношении водителя автопоезда, создавшего аварийную ситуациию, никаких следственных действий не было, так как с ним не было контактного взаимодействия с легковым автомобилем. Самое интересное, эксперт-автотехник, проводивший экспертизу сделал вывод, что боковой интервал 0,2 м при встречном разъезде с автопоездом длиной 18,5 м обеспечивал безопасный встречный разъезд с автопоездом, не учитывая, что автопоезд возвращаясь на своюсу движения, начал создавть опасность движения между ТС, двигавшихся в колонне по допустимой дистанции, вынудив одного из водителей из колонны изменить режим движения, чтоб предотвратить столкновение с автопоездом??? Из методики Иларионова В.А., ч. 2, 1980 года, боковой интервал при встречном разъезде при движении ТС с допустимымискоростями движений, автопоезда 70 км/ч, а легкового автомобиля 90 км/ч вне населенного пункта, то по расчету безопасный боковой интервал при встречном разъезде составляет 1,8 м и напрашивается вопоос, где эксперту-автотехнику из ЭКЦ МВД научили, что 0,2 м обеспечивает безопасный боковой разъезд встречных транспортных средств???
Уважаемый Виталий Зиновьевич, каким методическим или иным источником Вы пользуетесь о возможности остановки служебным торможением при сравнении неравенств величин:
Вывод о возможности остановки служебным торможением основывается на сравнении величин jсл и 0.95 jнорм Так по Методике Иларионова В.А., ч. 2, 1980, величина интенсивности служебного торможения не превышает 40-45% от максимальной, где при служебном торможении замедление обычно не превышает 1,5-2,5 м/с2.
Согласно п. 6.14 ПДД РФ, где сказано: "Водителям, которые при включении желтого сигнала и… не могут остановиться, не прибегая к экстренному торможению в местах, определяемых пунктом 6.13 Правил, разрешается дальнейшее движение", то тогда какова величина замедления "не прибегая к экстренному торможению" исходя из Вашего экспертного опыта?
Согласно статьи в Вестике СибАДИ, г. Омск: Городокин В.А., Альметова З.В., Шепелева Е.В. Методика расчета и установления приоритета при проезде регулируемого перекрестка в интервале смены разрешающего сигнала светофора на запрещающий. Вестник СибАДИ, г. Омск, выпуск 5 (51), 2016, стр. 68÷75, величина замедления в темпе "не прибегая к экстренному торможению" при коэффициентах сцепления с дорожным покрытием в пределах 0,5-0,7 в снаряженном состоянии, при 50% загрузке и полной массе ТС составляет 4,6 м/с2, установленной в процессе экспериментов. Можно с этими данными величин замедления пользоваться при экспертном расчете о возможности остановиться водителем при включении для него желтого сигнала светофора в темпе "не прибегая к экстренному торможению"?
Уважаемый Николай Николаевич,
Экстренное (extremum) – максимальное значение функции. Какой?
В данном случае – силы сжатия тормозных цилиндров и соответственно трения колеса о поверхность. Это блокировка колеса или срабатывание АБС.
Меньшее значение силы – уже не экстренное.
Уважаемый Виталий Зиновьевич, Вы наверное не поняли суть вопросов, которые я Вам задал с учетом практического опыта Вашей экспертной работы 25 лет?
Я действую согласно изложенному подходу
Уважаемый Виталий Зиновьевич, дело в том, что у нас в научно-технической литературе и методических пособиях для экспертов нет обоснования понятия термина «не прибегая к экстренному торможению» и каждый эксперт понимает по своему. Вы понятие термина «не прибегая к экстренному торможению» из Вашей статьи и комментарии относите этот термин к понятию служебного торможения. Если это так, то почему в ПДД РФ не прописали п. 6.14 ПДД РФ этим термином «служебного торможения», а прописали «не прибегая к экстренному торможению», а расшифровку этого понятия в п. 1.2 ПДД РФ не внесли.
Уважаемый Николай Николаевич,
В свое время когда я начинал, кто-то из известных методистов САТЭ говорил мне, что они предлагали написать ПДД, но ГАИ ответило им, что сами справятся.
Уважаемый Виталий Зиновьевич, не могу согласиться со следующим утверждением:
«Главным отличием между приведенными интенсивностями снижения скорости является то, что при экстренном торможении шина колеса скользит по поверхности дороги, а при служебном – катится.
При работе антиблокировочной системы колесо находится на границе между скольжением и качением, поэтому верхним критерием для служебного торможения рекомендуется величина замедления, равная не более 95% от величины замедления при экстренном торможении».
Рекомендация использовать смартфон для определения замедления также сомнительна.
У меня сложилось впечатление, что Вы не углублялись в процесс торможения автомобиля, тем более не пришлось познакомиться с ним практически.
Кроме того, при торможении легкового автомобиля в потоке ТС с замедлением 95% (6,9м/с/с) есть реальный шанс получить удар сзади от груженого автопоезда, у которого замедление 100% составляет 4.8 м/с/с.
Уважаемый Сергей Евгеньевич, здравствуйте и рад Вас видеть.
Что предлагаете Вы?
Почитать В.А. Городокина и источники, на которые он ссылается. Самому проехать по городу в плотном потоке и записать параметры торможений, диктуемых дорожной обстановкой.
Потормозить с замедлением 95% от максимального (соблюдая безопасность).
Проанализировать результаты.
Бесконечная дискуссия по параметрам торможения связана с большим разбросом коэффициентов сцепления дорожного покрытия, характеристик шин (почитайте статьи в журнале «За рулем»), различных тормозных характеристиках автомобилей (Методическое пособие Григорянов) даже одной категории. Неоднократное торможение одного и того же автомобиля на одном и том же участке дает значимый разброс тормозного пути.
И, не следует забывать, что каждая ситуация уникальна.
Уважаемый Сергей Евгеньевич, предлагаю здесь на этом сайте создать базу данных по экстренному торможению и начать ее наполнять.
Способ измерения описан. Для измерений конечно же лучше выбрать одну программу, оттестировав на точность.
Создаем отдельную страничку (думаю, что админы сайта помогут) в табличной форме с необходимыми данными:
марка, модель;
год выпуска;
тип и состояние покрытия;
тип шин (зима, лето, всесезон, шипы или нет).
Само торможение предлагаю делать на скоростях 60 и 90.
Для внесения в базу плюсом скриншот с максимальным значением замедления и фото места с видом покрытия (обязательно с фоном неба для отличия).
Модератор вносит. Автоматически подсчитывается среднее значение.
Начинаем сами и подключаем всех вокруг. Думаю, что за год уже наберем то, чему удивимся.
Проблема в том, что ориентировка идет на цифры, которые получены энтузиастами уже давно, а нежелание проверять, дополнять и совершенствовать прикрывается девизом: ЗА ЭТИ ГОДЫ КОНСТРУКЦИЯ ТОРМОЗОВ НЕ ИЗМЕНИЛАСЬ.
Владимир Александрович Городокин как раз и есть такой энтузиаст, и ему надо помогать, т.е. делать общее дело.
Уважаемый Сергей Евгеньевич, по поводу замедлений ознакомьтесь по ссылке: https://www.tipse.ru/jour/article/view/509/469
Ваши голоса очень важны и позволяют выявлять действительно полезные материалы, интересные широкому кругу профессионалов. При этом бесполезные или откровенно рекламные тексты будут скрываться от посетителей и поисковых систем (Яндекс, Google и т.п.).
Защита по сложным уголовным экономическим делам.
Борьба с фальсификациями и незаконными методами расследования. Опыт, надёжность, добросовестность!
Консультации, дела.
Действую с интересом, спокойно и тщательно, очно и дистанционно.
Дорого, но зато качественно. Все встречи и консультации, в т.ч. дистанционные только по предварительной записи.


Уважаемый Виталий Зиновьевич, нормативная величина замедления от значения коэффициента сцепления, указаннных Вами:Нормативная величина замедления принимается равной средней из интервала значений коэффициента сцепления на данном состоянии покрытия с учетом ускорения силы тяжести (например, для сухого асфальта коэффициент сцепления составляет 0,7..0,8, что с учетом величины 9,81 м/с2 дает среднее значение 7,4 м/с2). согласно методических рекомендаций для экспертов: «Применение в экспертной практике параметров торможения автотранспортных средств: методические рекомендации для экспертов / В.Г. Григорян, А.В. Григорян. ‒ М.: ФБУ РФЦСЭ при Минюсте России. 2021» при коэффициенте сцепления 0,75 значение замедление в снаряженном состоянии ТС составляет 7,3 м/с2, при загрузке ТС на 50% — 7,0 м/с2, а при полной массе ТС — 6,8 м/с2.
↓ Читать полностью ↓
По степении причинения последствий при обоюдном вине нарушений ПДД из-за технической возможности предотвратить ДТП в судах вообще игнорируются о привлечении такого лица к ответственности. Так из экспертной практики я в своих заключениях указываю, что причиной связью данного происшествия является превышение скорости водителя, имевшего приоритет движения, но при движении им с допуститмой скоростью движения, водитель ТС, двигавшегося по второстепенной дороге при пересечении перекрестка успевал выехать за пределы перекрестка на расстояние "___" м, то есть позволяло водителю последнего более два раза успеть пересечь данный перекресток при соблюдении первым водителем ТС скоростного режима на заданном участке дороги, ограниченным дорожным знаком 3.24 «Ограничение максимальной скорости».
Судья, этот вывод эксперта полностью пригнорировала и в своем судебном решении мотивировала следующим образом дословно: "… при любом выбранном водителем М.Д.В. скоростном режиме водитель Б.П.С. при наличии установленного по пути движения ее транспортного средства знака «Уступи дорогу» обязана была уступить дорогу автомобилю BMW… под управлением М.Д.В., имеющему преимущество на дороге ввиду нахождения его на главной дороге". Данное судебное решение устояло в вышестоящих судах вплоть до Верховного суда РФ.
Также следует отметить, что есть случаи, когда водитель ТС, имеющий преимущество в движении и двигавшийся с превышением скорости, не имеет технической возможности предотвратить ДТП в момент возникновения опасности для него движения, чем и ограничиваются эксперты при решении данного вопроса о техническеой возможности предотвратить ДТП, но при дальнейшем решении о возможности выхода объекта за пределы полосы движения при условии движения водителем с допуститмой скоростью, вывод меняется на противоположный, который означает, что ТС, двигавшего по второстепенной дороге, или пешеход успевали выйти за пределы полосы движения ТС. Следовательно вывод эксперта должен быть, что причиной ДТП, с технической точки зрения, является превышение скорости ТС, пользовавшего преимуществом в движении на заданном участке перекрестка или дороги. Не было бы превышение одним из участнкиов ДТП, то и не было бы ДТП и не было бы необходимости уступать дорогу в данной дорожной ситуации из требований п. 1.3 ПДД РФ!!!
Каждый участник дорожного движения, взаимодействуя с остальными и соблюдая требования Правил, вправе рассчитывать на то, что в отношении него эти требования также выполняются.
Уважаемый Николай Николаевич, этот проект возник у меня из той же судебной практики, когда судьи (а также ГАИ, следствие и др.) почему-то уверены в том, что «Он же не уступил». И никак не могут понять, что «Он не ДОЛЖЕН был УСТУПАТЬ». По замедлениям конечно же нужна корректировка, согласен с Вами