Задача. Имеем перекрёстное столкновение двух автомобилей, в результате которого они оба во время неуправляемого движения в конечное положение разворачиваются на некоторый угол. Как обычно, следов движения автомобилей на месте ДТП сотрудниками ГИБДД не зафиксировано, а может их и не осталось, а есть только место столкновения. Угол между продольными осями автомобилей известен и составляет, например, около половины прямого угла или 45 градусов. Требуется установить скорости автомобилей в момент столкновения в этом ДТП.

Для полноты картины на следующем рисунке показана схема ДТП, где слева – момент столкновения, а справа – конечное положение наших участников ДТП. Размерные линии на рисунках связывают центры тяжестей наших автомобилей в момент столкновения и в конечном положении.

Метод расчета – применяем закон сохранения количества движения (импульса)
В самом деле, для этой задачи можно установить остаточные, после удара, скорости движения автомобилей синего u1 и зелёного u2. Кажется, что раз столкновение всё-таки встречное, надо установить энергетически эквивалентные скорости для каждого автомобиля EES, или, что одно и то же, затраты энергии на деформацию их конструкций. Потом установить величину изменения скорости каждого автомобиля в результате удара dv1 и dv2 и добавить эти величины к их остаточным скоростям u1 и u2. Но здесь можно обойтись и без этого, и достаточно точно всё сделать примитивными ручными расчётами.Вспомним Ньютона, а именно то, что действие равно противодействию. Во время удара в каждый момент времени на заднее правое колесо первого (синего) автомобиля действовала такая же по величине сила, как на переднюю справа часть второго (зелёного). Только направление этих сил было противоположным. Или, с учётом, что сила, умноженная на время её действия, называется импульсом, импульсы сил были равны по величине и противоположны по направлению.
А за счёт чего развернулись автомобили в нашем ДТП? Конечно, за счёт того, что импульсы силы взаимодействия создали вращающие моменты относительно центров тяжестей этих автомобилей, или моменты импульсов.
Зная углы разворота автомобилей можно вычислить отношение плечей моментов импульсов, откуда с помощью геометрического построения установить направление импульса силы удара, а, значит, и установить величины изменения скоростей автомобилей в результате удара.
Не понятно? Сейчас всё поймёте. Вперёд!
Решаем задачу
1. Определяем остаточные скорости автомобилейПеремещение центра тяжести автомобилей, согласно теореме Пифагора, составляет

2. Определяем время движения автомобилей после удара
В нашем ДТП после столкновения автомобили не только перемещались, но и одновременно вращались. Нам понадобится знать время движения. Получаем, что
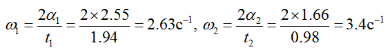
или второй автомобиль остановился почти на секунду раньше.3. Определяем скорости вращения автомобилей в результате удара
В нашем примере первый автомобиль в результате удара развернулся на угол а1=146 градусов или 2.55 радиан, второй – на угол а2=95 градусов или 1.66 радиан.
Тогда начальные скорости вращения автомобилей после удара были

4. Определяем массы и моменты инерции автомобилей
Снаряжённая масса первого автомобиля и его водителя составляет m1=1960+70=2030 кг, второго – m2=985+70=1055 кг. Габариты первого автомобиля (длина и ширина) а1=5.35м и b1=1.7м, второго –
а2=4.33м и b2=1.62м.
Тогда моменты инерции автомобилей составляют соответственно

5. Вычисляем плечи момента импульса силы удара и определяем направление линии силы (вектора импульса)
Момент импульса – это плечо линии силы относительно центра тяжести, умноженное на произведение момента инерции на начальную скорость вращения. Но здесь надо вычислить отношение плечей
Поскольку мы знаем локализацию мест удара на автомобилях, графически легко найти линию, расстояние от которой до центра тяжести второго автомобиля в 2.2 раза больше расстояния до центра тяжести первого автомобиля. Смотрим, что получилось.
Видно, что импульс силы удара фактически действовал вдоль правого борта первого автомобиля.
6. Вычисляем величину импульса, величины изменения скоростей и величины скоростей в момент столкновения
Итак, мы уже близко к занавесу. Поскольку из рисунка выше видно, что величина плеча импульса для первого автомобиля составляет h1=0.8 м, величина импульса силы удара составляет
Тогда скорость первого автомобиля уменьшилась в результате удара на
А двигался первый автомобиль в момент столкновения со скоростью u1+dv1=38.3+31.1=69.4 км/ч. Второй автомобиль в момент столкновения двигался под углом к линии силы, отсюда его скорость уменьшилась в результате удара на

Скорость второго автомобиля в момент столкновения была u2+dv2=19.3+42.3=61.6 км/ч.
Обсуждаем результат
Итак, без следов торможения и прочностных расчётов установлены скорости обоих автомобилей. Хотя рассмотренный случай и частный, но он повторяется достаточно часто на улицах наших городов и весей.Откуда я взял все эти формулы? А из учебника по теоретической механики для ВУЗов. Можете посмотреть любой, в том числе и древний, из докомпьютерной эпохи. На всех них, как правило, гриф «Допущен министерством …», но грифа «Утвержден Минюстом …» не найдёте. Не созрели ещё наши госэксперты до расчётов вращательного движения, нет в их методиках таких слов, как «угловая скорость», «угловое ускорение (замедление)», «момент инерции». Как мы недавно узнали из их секретного журнала, многое чего не нашло своего применения, и пока ищет, ищет, ищет … Не будем к ним слишком строги – им ведь только недавно самим разрешили анализировать диаграммы из тахографов грузовиков.
Тем не менее, приём, который я показал, достаточно легко проходит в наших судах, так как против учебника по теоретической механике госавтоэксперту в суде (который практически всегда отгадайте на чьей стороне) и возразить вроде нечего, кроме «не утверждено МЮ». А что тут неправильного, в учебнике-то?
Польза от этой публикации для экспертов несомненна. А адвокаты намотают на ус, что есть случаи, когда можно установить скорости автомобилей достаточно просто, а лучше – сразу несколькими методами, для надёжности.
Ваши голоса очень важны и позволяют выявлять действительно полезные материалы, интересные широкому кругу профессионалов. При этом бесполезные или откровенно рекламные тексты будут скрываться от посетителей и поисковых систем (Яндекс, Google и т.п.).
Разве это до сих пор не книга?
Адвокатам же досточно понимать то, что без следов и иных расчётов затрат энергии подчас можно установить скорости машин Это и есть самое важное для нас, т.к. вряд-ли кто-то из нас будет заниматься расчетами лично (хотя я и не исключаю такой вариант в качестве предварительной «прикидки»), но для решения вопроса о ходатайстве о назначении экспертизы, или отказу от неё, понимание возможного результата (и его ценности в конкретном деле) это имеет огромное значение.
для решения вопроса о ходатайстве о назначении экспертизы
Уважаемый Иван Николаевич, это важно для адвоката и для оценки заключения эксперта или его сообщения с НПВ. А с такой готовой методикой клиент с техническим образованием легко поможет своему адвокату.
Вместе с тем, такими публикациями я, используя «Праворуб», преследую цель популяризации научного знания и научного развития экспертных методов среди практикующих экспертов, следователей и судей, чего не хватает нашему МЮ.
PS. Мне удалось установить счетчик Рамблера на личную страницу. Виден результат — десяток посетителей ежедневно и всплески посещений после очередной публикации. Пока эксперты, видимо, стесняются регистрироваться на ПР, но, надеюсь, сдвинем и эту проблему.

А это результат прошлой недели — распределение посетителей по странам и регионам России :)

Уважаемый Владимир Николаевич, может быть Вам стоит сделать отдельную публикацию для профессионалов — как установить на своей л/с такой же (или другой) счетчик, и как пользоваться статистикой ;)
Уж что-что, а Ваши просветительские способности ни у кого не вызывают сомнений (bow)
«Основоположники» не понимают численных расчётов.Что-то Вы их совсем опустили. Неужели правда?
Вопрос. Насколько могут отличаться результаты анализа в случае смещенной развесовки автомобиля.
Неужели правда?Истинная правда, уважаемый Александр Валерианович! Если Вам мало корнеклубнеплодореза, анонсирую следующую публикацию — судебную практику по подушкам безопасности, где на сцене динамики прочности и теории удара появляются химики и экологи.
Насколько могут отличаться результаты анализа в случае смещенной развесовки автомобиляМогут немного. Я проиграл этот пример в специальных компьютерных программах. С учетом работы подвески и смещения центра тяжести результат колеблется для первого (синего) автомобиля в пределах 67-72 км/ч, для второго (зеленого) — 58-64 км/ч. Но это не принципиально. Нельзя учесть необъятное, и любая модель подразумевает какие-то упрощения. Погрешность же в 5 км/ч считается нормальной.
Уважаемый Владимир Николаевич! Поясните, пожалуйста, такой момент: В рассчете: «Коэффициент сцепления шин с дорогой для бокового скольжения составит 0.56,». Я так понимаю, что это есть коэффициент сцепления шин с дорогой для бокового скольжения при расположении центральной оси автомобиля под углом 90 град по отношению к вектору движения автомобиля. Однако при вращении автомобиля после столкновения этот угол может меняться от 0 до 360 град. Соответственно, и коэффициент сцепления шин с дорогой для бокового скольжения будет значительно меняться. Как учитывать в расчете этот фактор?
Для продольного скольжения шины коэффициент сцепления 0.7, для поперечного при некотором угле скольжения от снижается на 20%. Для упрощения сразу можно принять 0.56 и повторить расчёты для наибольшего коэффициента сцепления 0.8. Получим вилку, внутри которой истина.
Качение и скольжение деформируемой шины — не тривиальная задача. Есть адекватные модели голландца Pacejka, модели Келдыша (бывшего Президента АН СССР), в программе Карат применена модель Бурга-Цайдлера.
Полностью согласен, что Качение и скольжение деформируемой шины — очень сложная задача со множеством допусков. Крайне трудно будет учитывать, с какой силой водитель давил на тормоза и тормозил ли вообще, как срабатывала система АВС, пытался ли водитель и в какой момент вывести машину из заноса и пр. С учетом вероятности воздействия различных факторов, полагаю, вилка может быть более 30 %. Однако, трудно будет суду ставить запятую в дилемме казнить или миловать… Хотя, это и есть работа для адвокатов.
полагаю, вилка может быть более 30%Откуда же такая страшная цифра в целых 30%?! Разьве нельзя погрешность рассчитать? Если под знаком радикала появляется коэффициент 0.8, то квадратный корень из него — 0.9, или 10% погрешности на остаточную скорсость движения. И эта погрешность будет наполовину «съедена» при учете удара.
Вы же технарь, уважаемый smirnoff-35, а взялсь рассуждать на техничекие темы как юрист, путем словоблудия судоговорения, а не языком математики! :)
Ок, по цифрам. Сравнительный тест Авторевю http://www.autoreview.ru/_archive/section/detail.php?ELEMENT_ID=126356&SECTION_ID=7120 Берем, например, тормозной путь на льду при 50 км/ч Мишелин — 67,8 м, Данлоп — 76,3 м. Разница 11%. С Камой даже не сравнивают, так как разница пойдет в десятки процентов. В Ваших расчетах учитывается фирма производитель? А износ шин? Или боковой занос 0,56 одинаков для новой и лысой резины? И это только касаемо резины!
Уважаемый smirnoff-35, я пытался для себя решить вопрос — Вы технарь или дилетант. К сожалению, пришел к выводу, что последнее — дилетант. "Аппараты химических производств" далеки от динамики машин, а «практика судов против ГИБДД» пока, увы, не принесла пользы.
То, что Вы пишите, давно известно экспертам. Ваши примеры — замедление по льду 1.42 и 1.26, что в рамках известного 1.0-1.5 м/с^2.
Идеология судебной экспертизы заключается не в том, чтобы установить что-то с точностью «до грамма», а в том, чтобы надежно отделить технически возможную ситуацию от технически невозможной.
То, что я написал — это статья, посвященная установлению величины импульса удара с использованием факта вращения. Если бы это была реальная экспертиза, то не зная, какая резина, я бы принял 0.56 как для лысой резины, и писал бы, что фактическая скорость была больше.
Владимир Николаевич, не стоило даже голову ломать — конечно я дилетант в динамике машин. Спросили бы — я так и ответил бы сразу. У каждого свое поле для сбора урожая. У меня возник вопрос о допусках в расчете, и я его задал. Спасибо за разъяснение. Сейчас я по Вашей таблице вижу, что вилка расчета скорости даже от типа дорожного покрытия может быть очень существенной. Разумеется, случись авария, сам я расчеты делать не буду. Каждый должен заниматься своим делом. Мне важно было понять допустимую точность расчета, которую предоставит специалист, чтобы отстаивать ту или иную точку зрения в суде, если придется.
Уважаемый Андрей Викторович, сверху — немецкая таблица, результаты экспертной фирмы DEKRA (более 1 млн. экспертиз в 14 странах Европы). Из нее видно, что расчет скорости по тормозному пути только по сухому льду дает наибольшую вилку в 40%, остальные покрытия — меньше. Так, вилка на сухом асфальте — уже 10%.
Автоэксперты, как правило, не учитывают удар, поэтому используют нижние пределы замедления, и пишут, что фактически скорость была выше. Но при наезде на пешехода, например, потеря скорости автомобиля мала, и можно требовать установления и верхнего предела скорости.
Ну вот, основопожники уже тролля прислали (giggle)
Кто из нас не умеет считать читатели могут проверить на калькуляторе, а я, в дополнение, показываю компьютерный вариант расчета:

Сколько судеб я сломал своими заключениями? Спросили бы лучше, скольким я не дал оболгать невиновных!
В вашей формуле u равно примерно 38,4 но! в м/с, а не в км/ч, как вы написали. Умножайте на 3,6 будет результат в км/ч. И, я — не тролль. У вас мания величия, если думаете, что кто-то кого-то посылает писать в форуме о ваших ляпах.
если средний русский человек видит, что он живет плохо, а его сосед хорошо, он думает не о том, чтобы самому постараться устроиться так же хорошо, как и сосед, а о том, чтобы как-то так устроить, чтобы и соседу пришлось так же плохо, как и ему самому
А.Альмарик
Видите ли, уважаемый «коллега — не тролль», эти формулы уже преобразованы для км/ч. Иначе под радикалом была бы цифра «2» а не «26». А 26 — это 2х3.6^2, т.е. преобразование в км/ч уже выполнено.
Так у кого из нас мания величия или клинит? Ну очень забавно! (rofl)
Владимир Николаевич! Уважаемый!
Не спорьте с дураками, а то люди, могут не заметить, между Вами разницы.
Я, всегда подозревал, что
1Математика наука точная.
2Знание сила.
3 Честные и порядочные люди, встречаются в жизни реже, чем хотелось бы, но это не значит, что их нет совсем.
Видите ли, Игорь Александрович, тонкий стёб приводит, как правило, к излечению от ФГМ. Нельзя же кидать наших сограждан на произвол судьбы — негуманно. Просвещать надо! ;)
Я вам, уважаемый, не коллега. Извиняюсь, однако предупреждать надо. Для чего усложнили?
Предупреждать о чем? О том, что я доцент по специальности «динамика и прочность машин»? Решились потягаться с доцентом в знании механики, так это как «назвался груздем, так полезай в кузов»!
А то, что Вы мне не коллега — это так, поэтому я взял это в кавычки! (rofl)
Владимир Николаевич! Я вот для того, чтобы Вас читать временами сам не подготовлен, хотя и сопромат изучал, и термех. Но основное на моем факультете было все то, что из теоретических основ электротехники вытекало. А и все равно — даже ТОЭ уже в голову не умещается, хотя как самолет сломать до сих пор помню:)
Вы уж на нас, неучей не серчайте. Хотя б на тех, кто с места в галоп не рвет(bow)
Что Вы, уважаемый Владислав Николаевич, ни-ни. Моя цель — просвещение. А там уж как пойдет — до кого свет со скоростью света доходит, а до кого дольше. Все относительно… ;)
Малюсенькая подсказка. В Вашей статье — «Должны ли сработать подушки безопасности? История первая» написано, что в результате Тойота раскатала переднюю часть «двенашки» и ещё около 100 м кувыркалась на дороге. Но в вышеизложенной статье фургон переместился всего на 10 метров. Хотя оба случая чем то похожи и должны иметь расхождение процентов на 30 не более, а мы видим, что данные расходятся в 10 раз. Это значит расчеты не подтверждаются реальными фактами.
Кстати и в той статье Вы пишите, что скорость Тойоты в ДТП была не менее 83.4 км/ч или 23.2 м/c. Я могу предположить, что скорость была более 100 км/ч, но вероятно об этом умолчали, чтоб не возникли трения со страховым случаем.
Я не вижу никакой связи Тойоты и этого случая. Да и деформации отличаются существенно (случай реальный). :)
Что касается «Я могу предположить, что ...», так я тоже могу предположить, что… Но пока не спешу. (giggle)
Эксперт Никонов Владимир Николаевич Вы вроде, как доцент по специальности «динамика и прочность машин», но почему-то легко бросаетесь словами типа дибилизация и т.д., а также легко умеете определять умственные способности человека. А подскажите методу. Может быть Вы и в этом эксперт, вдруг уже все дибилами стали.
Вы считаете, что только доценты знают механику? Вот я прочитал Вашу статейку и нашел, что Вы в данной статье вводите людей в заблуждение, то есть как эксперт Вы предоставили ложное экспертное заключение. Понятно, что люди мало обращают на такие ошибки, но Вы же сами пишите «назвался груздем, так полезай в кузов»! Вы сами исправите Ваши ошибки, а то мне как-то стыдно Вам подсказывать, но если пожелаете, то с большим удоольствием.
Желаю!
Нда даже подсказка не помогают. Я даже не буду говорить, что в реальных событиях надо учитывать силу ветра, так как фургон имеет большую парусность и другие обстоятельства. Перейдем тогда к сути явления.
— Машины у нас не плоские, а объемные. Вы же ведете расчеты к плоским моделям.
— Центр тяжести находится не на уровне земли, а намного выше, поэтому если удар сильный, то машина ляжет на бок или даже перевернется — это наверное школьник 5 класса поймет. Поэтому я выделил в первой подсказки, что Тойота около 100 м кувыркалась на дороге. В своих формулах Вы это вообще не учитываете.
— Если реально расставить все векторы, то мы увидим совсем другую картину и другую динамику.
Еще подсказки нужны?
Да. Решение полностью, пожалуйста, с формулами и расчетами. Можете опубликовать отдельной статьей и будем обсуждать. :)
Чтобы легко читалась, была понятной и полезной как экспертам, так и адвокатам, которые должны знать возможности классической механики для случаев, когда методики «основоположников» дают НПВ........Владимир Николаевич, я с удовольствием читаю и вникаю в ваши формулы, так как по первой профессиии инженер.- механик по эксплуатации лет. аппаратов и силовых установок, но однако не все адвокаты имеют техническое образование, а судьи и прокуроры и вовсе,. Вот в этом и беда, что когда проводят судебную экспертизу по уголовным и гражданским делам в решении и приговоре суда, ложится вывод эксперта, который у судей сомнений не вызывает. Ходатайства адвоката на повторную и дополнительную экспертизу, суд часто отклоняет, так как сроки рассмотрения по гражданским делам лимитированы. Скажете, что проводите независимую экспертизу, но опять у суда есть отговорка, эксперт за дачу ложных показаний в данной экспертизе не подписывается. Отсюда вывод:- профессионализм эксперта должен быть на высоком уровне, чтобы не только у судей и прокурора не вызывал сомнений, но и у адвокатов, которые имеют высшее техническое образование и опыт работы в данной сфере.
профессионализм эксперта должен быть на высоком уровне
Уважаемый Петр Владимирович, жаль только жить в эту пору прекрасную уж не придется ...
Для того, наверное, на «Праворубе» и открыли двери экспертам, чтобы было взаимопонимание с адвокатами, хотя бы на начальном уровне. Что касается независимой экспертизы и отговорок — согласен, поэтому и приходится мотаться по России и за пределы, чтобы и этот козырь выбить.
Скажете, что проводите независимую экспертизу, но опять у суда есть отговорка, эксперт за дачу ложных показаний в данной экспертизе не подписывается.Уважаемый Петр Владимирович, выходит эксперт не несёт ответственности за свою работу?
Придётся самому себе отвечать:
Возможности для шельмования почти безграничны.
Вот почему Владимир Николаевич бьёт наотмашь госэкспертов.
Ст. 307 УК РФ
Примечание. Свидетель, потерпевший, эксперт, специалист или переводчик освобождаются от уголовной ответственности, если они добровольно в ходе дознания, предварительного следствия или судебного разбирательства до вынесения приговора суда или решения суда заявили о ложности данных ими показаний, заключения
Возможности для шельмования почти безграничны
Почему «почти», Александр Валерианович? Ст. 307 УК РФ предусматривает заведомо ложные заключения. Чем меньше знает эксперт, тем меньше шансов у «заведомости» — он же не понимает, что пишет! Что с него взять?
Владимир Николаевич, в расчётах, насколько важно знать направление вектора приложения сил в первоначальной точке касания?
И попуттно второй вопрос: Направление вектора «отскока» имеет существенное значение для эксперта?
Уважаемый Александр Валерианович, важно и имеет значение, даже притяжение Луны. А больше никак на Ваши вопросы и не ответишь — не привязаны к ситуации. :)
С Новым Годом Владимир Николаевич!
Жаль, что точное определение направления вектора практически не влияет на результаты Вашей экспертизы.
Хотел предложить совместное написание заявки на способ, устройство и методику определения вектора приложения сил с высокой точностью.
В моём случае погрешность составила 1,5 градуса.
(При 12 градусах, определения традиционным способом.)
Если буду писать заявку, то в соавторы приглашу Бозова Алексея Анатольевича, натолкнувшего на хорошую идею.
Удачи в подаче заявки! Я рад, что соавтор не Грызлов (как это принято в последнее время):D
С Новым годом, Александр Валерианович!
Жалко, что такие как Вы работают в автоэкспертизе. Вот нет хороших экспертов во врачебной практике, да еще такие, которые написали бы так красиво. Ведь там вообще поле не паханое, можно десяток статей в день писать, как лечат криво. Сколько народу лечатся, а их лечат вообще как попало. Железки ладно не жалко, а сколько народу мрут, потому что нет в РФ нормальных экспертов по врачебной практике. У нас ведь даже лаборанты, которые делают анализы — это уже эксперты, но как мы после их экспертных исследований лечимся — это просто ужас
Вы думаете решить проблему экспертами?! Это — проблема образования и дебилизации оного. :(
А проблема образования и дебилизации оного откуда идет — это ведь управляемый процесс. Цирковых медведей уму разуму учат, а у нас детей дибилами делают наверное это так задумано кем-то. Вот во время СССР люди все были грамотные, а сейчас 3 миллиона уже ни читать ни писать не умеют. У некоторых три высших образования, а по делу если посмотреть, то среднего нельзя дать. РАН уже дипломами докторов наук продает. У нас вон Ген. директор на старом предприятии духтор наук, больше 1500 тысячи потентов и изобретений, прям голова два уха. Наверное всеми ночами только и изобретал, даже не спал. Сейчас просто делают хочешь работать на предприятии отдай свое изобретение или открытие вышестояшему руководству, тогда ты сможешь работать, а если нет, то на работу не устроишся и это повсеместно.
РАН уже дипломами докторов наук продает… Ген. директор… духтор наук, больше 1500 тысячи потентов и изобретений
Уже интересно! Пожалйста опубликуйте список купленных в РАН докторских дипломов, а так же список патентов ген. директора с указанием, откуда и что он слямзил.
Тогда будет предметный разговор с обращением в ВАК и Роспатент.
Обидно конечно за нашу науку, но факты упрямая вешь. Энтузиаст Саша в чем то прав наверно. Дибилизация откуда то идет, Вы вот не указываете. Не верится, что дети дибилами рождаются, наверное становятся после того как большие дядьки их учат уму. Вот посмотрел в интернете как купить докторскую и куча ссылок. Пример — http://www.compromat.ru/page_11645.htm
Да и сколько по телеку показывали как все эти дипломы и докторские можно купить, даже в новостях несколько раз смотрел об этом. Обидно конечно такая уж страна.
Вот здесь покруче, а информация эта 2002 года. Только к РАН и ВАК это отношение не имеет, все эти самостийные академии и ВМАКи давно на место поставили, никто всерьез не принимает.
Я бредятиной не занимаюсь :D
Причинная механика Козырева была признана научным сообществом ошибочной. Это не значит, что Козырев плох. Идеи движут познание вперед. Вот и сейчас наука ушла далеко вперед. Почитайте про теории суперструн и М-теорию.
К Морозову у науки претензий не было. Он в Вашем списке лишний.
Против «новой хронологии» Фоменко и Носовского выступили историки, археологи, лингвисты, математики, физики, астрономы и представители других наук. Только время расставит все по своим местам в этом споре.
Теперь про лакмусовую бумажку – Ваши дилетантские рассуждения с аргументацией на деревенско-бытовом уровне, если не ниже, никому здесь, и мне, в том числе, не интересны.
Не знаю, как по косвенным признакам Вы определяете, что из себя представляет РАН, но уровень Ваших умственных способностей виден невооруженным глазом. :)
В РАН, например, даже изобрели такую структуру, как комиссия по лженауке, которая «перекрывает кислород» любому нестандартно мыслящему исследователю
Исследователю или жертве дебилизации? Вы себя к кому относите? (giggle)
Кашу в голове утрясите как нибудь. Ваш метод анализа — это тоже следствие дебилизации.
Энтузиаст Саша ну ты голова. Завалил на обе лопатки!!! :D
Да уж, аж обе лопатки чешутся — не знаю динамикой и ДТП дальше заниматься, или на новую хронологию и торсионные поля переключиться. Что бы РАН без Саши делала?! :D
Да Вы вроде как динамику всю знаете вдоль поперек, что ей заниматься. ДТП конечно надо заниматься — это ведь помощь людям.
Вот мне например интересны новые открытия. Вон Рас4 оказывается за счет Библии доказал, что люди уже давно живут на земле. А нам по истории и биологии говорят, что были обезьяны, потом стали человеки. Некоторые современные ученные говорят, что 15 тыс лет назад была высоразвитая цивилизация, а историки и биологи говорят, что люди с дубинками ходили. Хотя на деле мы видим, что уже 70 тыс лет назад пирамиды стояли — это тоже Рас4 расшифровал, а Скляров в своих фильмах описывает. Неужели не интересно тем более технарю физику, мне даже не верится, обычно технари люди увлеченные, им интересно открывать новые горизонты.
Энтузиаст Саша ты прям в 10ку попал. У людей таких специальностей должен быть ярко выражен познавательный процесс.
Господа спорщики «ниочем»! Владимир Николаевич предложил вариант решения механизма ДТП. «Кто имеет что сказать- говорите» как говорят в Одессе — говорите по-существу данной публикации. Не засоряйте форум!
Уважаемый Владимир Николаевич, вопрос по установлению импульса силы удара: сложно представить чтобы импульс соответствовал желтому вектору на схеме. Наверное все-таки угол должен быть несколько повернут в строну седана, градусов на 10-15. Точнее можно сказать, сминаемая часть правого крыла седана имеет линию столкновения под углом к продольной оси данного ТС и направление развития деформации крыла -не строго вдоль борта фургона.
Это — расчетные данные. Получите другие — пишите :)
Уважаемый Владимир Николаевич, на линии, соединяющей центры тяжести автомобилей находим точку, расстояние от которой до центра тяжести второго автомобиля в 2.2 раза больше расстояния до центра тяжести первого автомобиля. Линия, проходящая через эту точку и точку удара есть линия силы. Плечо импульса есть кротчайшее расстояние от центра тяжести каждого автомобиля до линии силы а не до точки удара. Я правильно понял?
Уважаемый Николай Владимирович, да, правильно поняли. Что такое плечо силы — школьный курс физики.
Спасибо, Владимир Николаевич.
Ваши голоса очень важны и позволяют выявлять действительно полезные материалы, интересные широкому кругу профессионалов. При этом бесполезные или откровенно рекламные тексты будут скрываться от посетителей и поисковых систем (Яндекс, Google и т.п.).
Защита по сложным уголовным экономическим делам.
Борьба с фальсификациями и незаконными методами расследования. Опыт, надёжность, добросовестность!
Консультации, дела.
Действую с интересом, спокойно и тщательно, очно и дистанционно.
Дорого, но зато качественно. Все встречи и консультации, в т.ч. дистанционные только по предварительной записи.


Сопоставляя статьи уважаемого Владимира Николаевича со словами одного прокурорского деятеля: «В конечном итоге, по делам о ДТП, заключение автотехника и не нужны — в ГИБДД достаточно квалифицированные сотрудники» — прихожу к парадоксальному выводу — изменение внешнего облика отдельных приматов не затронуло их мозг, а наделение их властными полномочиями полностью исключает возможность их эволюционирования в человека разумного.
Что касается содержания статьи — Владимир Николаевич, мне, как технарю в прошлом, в принципе, методика расчета понятна, но Вы уж приводимые значения в формулах и для гуманитариев разъясняйте).
наделение их властными полномочиями полностью исключает возможность их эволюционирования в человека разумного«Образованные люди выходят на улицы и свергают власть», — сказал недавно Жириновский. Образование стало опасно для власти, и первая стадия дебилизации населения успешно завершается предстоящей реорганизацией судебной экспертизы, о чём уже на «Праворубе» писал я и писал Д.Г.Апалёв.
"Основоположники" не понимают численных расчётов. Ну что же, вот простейшая методика с простыми формулами и примером, причём полностью. Посмотрим, Андрей Юрьевич, на реакцию экспертов. ;)
Адвокатам же досточно понимать то, что без следов и иных расчётов затрат энергии подчас можно установить скорости машин.