Эта лекция полезна и для адвокатов, так как дает возможность настоять на производстве подобных расчетов в конкретном деле по ДТП по ст. 264 УК РФ.
С марта 2012 года, когда научно-методический совет РФЦСЭ МЮ РФ рекомендовал к использованию в судебной автотехнической экспертизе программный продукт по моделированию ДТП «PC-Crash», при производстве экспертизы, в необходимых случаях, должен использоваться алгоритм CRASH3. А писать в заключениях эксперта о том, что для определения величины затрат энергии на деформацию транспортного средства нет научно разработанных и апробированных методов, теперь стало признаком некомпетентности эксперта.
Эксперты-автотехники, адвокаты и юристы, практикующиеся на ДТП, также должны знать, что отсутствие в экспертном учреждении той или иной специальной компьютерной программы не является причиной отказа от проведения исследования и установления величины затрат энергии на деформацию, так как по алгоритму CRASH3 эти расчеты можно провести в «ручном режиме» на калькуляторе.
При этом, понимание физики и особенностей модели, реализованной в этом алгоритме, обязательны для судебного эксперта, так как позволяют научно, полно и точно интерпретировать данные и объяснить результаты анализа, а не ссылаться на результаты расчетов как на «черный ящик».
Согласно руководству по программе PC-Crash (версия 10.0), энергия, затраченная на деформацию транспортного средства при столкновении, может быть рассчитана двумя различными способами:
- на основе алгоритма CRASH3, который за основу берет результаты испытаний, опубликованных NHTSA (Национальным управлением по безопасности движения автомобильного транспорта США);
- методом конечных элементов.
Метод конечных элементов весьма сложен для неподготовленного специалиста, так как его понимание требует наличия специальных знаний, подчас выходящих за рамки вузовской программы даже по техническим специальностям.
Алгоритм CRASH3 — гораздо проще. Следует напомнить, что еще в 2004 году в п.5.2.3 методических рекомендаций по проведению независимой технической экспертизы транспортного средства при ОСАГО №001МР/СЭ (утв. ГНИИ АТ Минтранса РФ, РФЦСЭ МЮ РФ, ЭКЦ МВД РФ, НПСО «Объединение транспортных экспертов») для определения причин повреждений объектов экспертизы рекомендовалось использовать справочники с результатами краш-тестов конкретных марок (моделей, модификаций) транспортных средств, и, в частности результаты краш-тестов NHTSA, имеющиеся в свободном доступе в виде отчетов и в цифровом виде, вместе с программами для обработки данных.
Для расчета величины затрат энергии на деформацию автомобиля при его фронтальном столкновении требуется знать коэффициента жесткости его передней части A, B и G. Коэффициент A измеряется в н/м и представляет собой удельную силу, которую передняя часть автомобиля может выдержать до начала пластической деформации. Коэффициент B измеряется в н/м2 и представляет собой удельную силу, необходимую для производства пластической деформации конструкции передней части автомобиля. Коэффициент G – производный от A и B. Физический смысл и использование этих коэффициентов в модели CRASH3 – в следующей статье, а сейчас перейдем к тому, как их определить исходя из данных краш-теста автомобиля на фронтальный удар.
Отчеты о краш-тестах доступны на сайте NHTSA. Выбираем ссылку «Query by vehicle parameters such as make, model, and year» и в появившейся форме выбираем нужный нам автомобиль.
На рисунке показано, что выбран автомобиль Toyota Yaris, всех модельных годов, отчеты будут отсортированы в порядке убывания (самые свежие краш-тесты будут сверху). Нажимаем кнопку «Submit» и получаем таблицу из 21 краш-теста этого автомобиля. Выбираем, например, краш-тест №6221, произведенный с 3-х дверным автомобилем Toyota Yaris модели 2008 года на фронтальный удар в жесткий неподвижный барьер (из бетона) на скорости 56.2 км/ч. По ссылке «Reports» (Отчеты) попадаем в окно отчетов и скачиваем файл отчета v06221R001.pdf. Заметим, что по ссылке «Photos» можно скачать оригиналы фотографий из отчета, а по ссылке «Videos» – видеозаписи краш-теста.
В 70-х годах прошлого века К.Кэмпбеллом (K. L. Campbell, “Energy basis for collision severity,” SAE Technical Paper Series, no. 740565, 1974) было отмечено, что для автомобилей General Motors при их фронтальных ударах величина продольной деформации зависит от скорости удара по линейной зависимости, как показано на рисунке ниже.

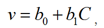
Тогда показанная на рисунке выше зависимость может быть записана в виде
Для дальнейших расчетов из отчета о краш-тесте из таблицы 2 на стр.5 устанавливаем массу лабораторного автомобиля при испытании m=1245 кг, из таблицы 15 на стр. 25 фактическое значение скорости удара v=56.2 км/ч и на суммарной ширине L=1.164 м величины продольных деформаций в шести равноотстоящих точках передней части С1=0.431 м, С2=0.491 м, С3=0.517 м, С4=0.507 м, С5=0.497 м, С6=0.421 м.
Лабораторный автомобиль после удара и схема его деформации (размеры в сантиметрах) показаны на рисунке ниже.

Теперь необходимо установить среднюю деформацию лабораторного автомобиля. Это можно сделать, просуммировав площади пяти трапеций и найти высоту прямоугольника с основанием L=1.164 м и такой же площадью. С учетом этого средняя деформация лабораторного автомобиля

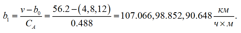
Далее следует определиться с величиной скорости нулевой деформации b0. Стандарты на бамперы определяют эту величину от 4 км/ч. В частности, бамперы ВАЗовских автомобилей так же производятся с расчетом отсутствия разрушений при ударе на скорости до 4 км/ч. В программе PC-Crash эта величина, как правило, принимается равной 12 км/ч. Поэтому далее коэффициенты жесткости определяются для значений b0=4, 8, 12 км/ч, а в одной из последующих статей будет проанализировано влияние значения скорости нулевой деформации b0 на результат расчета скорости удара автомобиля.
Определившись с величиной скорости нулевой деформации b0 можно определить величину наклона прямой b1 как
Здесь следует отметить следующее. Из таблицы 15 на стр. 25 отчета о краш-тесте автомобиля Toyota Yaris следует, что изменение скорости автомобиля в краш-тесте составило 62.8 км/ч, или автомобиль под действием упругих сил после удара был отброшен от барьера на скорости 62.8-56.2=6.6 км/ч. Почему же в формуле выше фигурирует скорость удара?В техническом руководстве по CRASH3 «CRASH3 Technical Manual» NHTSA, Washington D.C.» показано, что фактическая величина кинетической энергии, затраченная на пластическую деформацию автомобиля, составляет
где k – коэффициент восстановления скорости, фактическая величина которого для автомобилей близка к 0.1. Так, в краш-тесте Toyota Yaris коэффициент восстановления скорости составил k=6.6/56.2=0.117, его квадрат составляет 0.014, или, из формулы выше, на пластическую деформацию этого автомобиля затрачено (1-0.014)х100%=98.6% его кинетической энергии и усложнять метод не имеет смысла.
Тогда величина коэффициента жесткости A автомобиля Toyota Yaris, для разных значений скорости нулевой деформации b0, составляет

Величина коэффициента жесткости B автомобиля Toyota Yaris, для разных значений скорости нулевой деформации b0, составляет

Величина коэффициента жесткости G автомобиля Toyota Yaris, для разных значений скорости нулевой деформации b0, составляет
Еще раз отметим, что физический смысл коэффициентов жесткости A, B и G, а так же как получены эти формулы, будет рассмотрен в следующей лекции. Пока же сравним результат расчетов для значения скорости нулевой деформации b0=12 км/ч с данными программы PC-Crash.
Как видно из таблицы на рисунке выше, результаты расчета коэффициентов жесткости по данным краш-теста для значения скорости нулевой деформации b0=12 км/ч полностью совпадают.
Полученные результаты расчетов жесткости передней части автомобиля Toyota Yaris сведены в таблицу ниже.

Таким образом, эксперт-автотехник, умеющий пользоваться Интернетом, и владеющий английским языком хотя бы на уровне «читаю и перевожу со словарем» может определить жесткость конкретной модели автомобиля и применить результат для расчета его скорости с учетом полученных деформаций.
Следующая лекция "Алгоритм CRASH3. Устанавливаем затраты энергии на деформацию автомобиля"
Все статьи автора на сайте «Праворуб» по этой ссылке.
Ваши голоса очень важны и позволяют выявлять действительно полезные материалы, интересные широкому кругу профессионалов. При этом бесполезные или откровенно рекламные тексты будут скрываться от посетителей и поисковых систем (Яндекс, Google и т.п.).
| 1. | Вывод формулы для средней деформации | 52.7 KB | 64 |
Уважаемый Владимир Николаевич, спасибо за очередную интересную статью и методику борьбы с псевдоэкспертами (handshake)
Это, уважаемый Иван Николаевич, не отдельные псевдоэксперты, а целая псевдосистема. Ужа более 2-х лет прошло, как они (их "ученый" совет) рекомендовали PC-Crash, а значит и все, что в нем содержится. Но до сих пор псевдоэксперты пишут, что «нет научно разработанных, и в установленном порядке утвержденных и апробированных методов». Вопросы о том, кому, кроме них самих, разрешено ими научно разрабатывать, кем и в каком документе установлен порядок утверждения и апробации, остаются без ответа. Зазеркалье, одним словом.
(rofl)
Уважаемый Владимир Николаевич, четко и по делу. следует продолжать.
1. Уважаемый Владимир Николаевич! Благодарю за статью — очень полезная информация. Возможность определения скорости движения автомобиля по имеющимся повреждениям всегда была камнем преткновения при постановке такой задачи. Здесь Вами внесена четкая ясность.
2. В то же время.
Уже более 2-х лет прошло, как они (их «ученый» совет) рекомендовали PC-Crash, а значит и все, что в нем содержится. Но до сих пор псевдоэксперты пишут, что «нет научно разработанных, и в установленном порядке утвержденных и апробированных методов». Меня давно пытает одна коварная загадка: кто или что является критерием научности заключения эксперта?
Ведь суд назначает проведение судебной экспертизы в случае возникновения потребности в специальных познаниях и т.д. То есть суд изначально оказывается несведущь в определенном вопросе, что собственно и побуждает его обратиться к людям знающим, т.е. к экспертам.
Но! Каким образом суд, не обладая спец. познаниями, может проверить заключение эксперта на предмет научности?
Получается: любой «умник» может нагородить в своем заключении черт знает что (об этом Вы писали уже и не раз), и суд этому «умнику» должен верить?!
Уважаемый Андрей Валерьевич, термин «научность» псевдоэкспертами понимается однозначно — это то, что указало начальство. Остальное — лженаука.
В общепринятом (нормальных людей) понимании научность — это соответствие критериям научного знания. а именно упорядоченности тех или иных утверждений и их обоснованности из уже известных научных знаний .
Научность начинается с ясности и элементарной упорядоченности исследования: посмотрите, определены ли термины и понятия, есть ли в рассуждениях логика и концептуальная связность, базируются ли рассуждения на научных знаниях. Иначе полагаться на такой текст нельзя.
Научность предполагает апробацию. Если ученый получает новые знания, он публикует результат и ждет мнения коллег — подтвердится результат или нет.
В этой статье речь идет не о научности, а о темноте и жуликоватости. Есть методы, апробированные в течение более 30 лет учеными и практиками (экспертами) всего мира. Некий «ученый совет», скрипя зубами, это признает. Но, ведь, привыкли уже шаманскими методами работать, привыкли назначать, а не устанавливать виновных. Вот я и предлагаю их бить их же розгами.
(giggle)
Если ученый получает новые знания, он публикует результат и ждет мнения коллег — подтвердится результат или нет. Так и есть: практика — критерий истины.
Но! Каким образом суд, не обладая спец. познаниями, может проверить заключение эксперта на предмет научности?Действительно, очень благодатная почва для разного рода злоупотреблений со стороны, как псевдо-экспертов, так и заинтересованных участников судебного процесса.
Причем, сложность иногда представляет не только проверка заключения на предмет научности. Судьи порой не могут/не хотят (?) проверить элементарную обоснованность выводов и их соответствие проведенному исследованию.
Выводы «переписываются» в нужную часть судебного акта «с сохранением пунктуации» — и на этом все... А вопрос «Откуда что взялось» даже не ставится...
Единственный вариант, на мой взгляд, — активное убеждение. В том числе с привлечением специалистов, способных разложить на винтики «Заключение черт знает о чем». Таких, например, как Автор статьи :)
сложность иногда представляет не только проверка заключения на предмет научности. Судьи порой не могут/не хотят (?) проверить элементарную обоснованность выводов и их соответствие проведенному исследованию.
Из Постановления Пленума Верховного Суда Российской Федерации от 21 декабря 2010 г. №28 «О судебной экспертизе по уголовным делам»
19. При оценке судом заключения эксперта следует иметь в виду, что оно не имеет заранее установленной силы, не обладает преимуществом перед другими доказательствами и, как все иные доказательства, оценивается по общим правилам в совокупности с другими доказательствами. Одновременно следует учитывать квалификацию эксперта, выяснять, были ли ему представлены достаточные материалы и надлежащие объекты исследования.
Для оказания помощи в оценке заключения эксперта и допросе эксперта по ходатайству стороны или по инициативе суда может привлекаться специалист. Разъяснения специалист дает в форме устных показаний или письменного заключения.
Суду надлежит указать, к каким выводам пришел эксперт в результате исследования, а не ограничиваться лишь ссылкой в приговоре на его заключение.
Оценка заключения эксперта может быть оспорена только вместе с приговором или иным итоговым судебным решением при его обжаловании в установленном законом порядке.
оно не имеет заранее установленной силы, не обладает преимуществом перед другими доказательствами и, как все иные доказательства, оценивается по общим правилам в совокупности с другими доказательствами.
Да, уважаемый Владимир Николаевич, и в гражданском и в арбитражном процессе действует (в теории) это же правило. Но на деле очень часто бывает иначе… К сожалению…
Приоритет в большинстве случаев все равно отдается доказательству, гордо именуемому «Заключение Эксперта». А чтобы этого не произошло — нужно как минимум «что-то такое же значимое» в альтернативе.
Как раз в связи с этим и понятны мысли Андрея Валерьевича...
Правоприменители в мантии, со слов их же самих — «не специалисты, и не обязаны во всем разбираться».....
Приоритет в большинстве случаев все равно отдается доказательству, гордо именуемому «Заключение Эксперта»
Если это — «Псевдозаключение псевдоэксперта», то, уважаемая Марина Владимировна, бороться с этим можно. Для этого я и пишу здесь, на Праворубе.
Другой вопрос — честь мундира. Суд назначает повторку, и целая камарилья таких же «псевдо» стеной встает на защиту благоглупостей, не боясь ни Бога, ни УК.
Я подсудимому всегда тогда говорю, что сам видишь все, и у тебя в деле есть документы, которые рано или поздно позволят реабилитироваться.
бороться с этим можно. И нужно! :)
Именно об этом я и писала:
Единственный вариант, на мой взгляд, — активное убеждение. В том числе с привлечением специалистов, способных разложить на винтики «Заключение черт знает о чем».
Правоприменители в мантии, со слов их же самих — «не специалисты, и не обязаны во всем разбираться».....Более того, судьи зачастую бравируют тем, что они не эксперты и не специалисты, а потому вдаваться в детали не могут, есть выводы в заключении и абзац.
А на вопросы защиты, подготовленные при помощи специалиста в порядке консультации (но суд-то об этом не знает, думает выдумывает адвокат чего-то, из себя мыслЮ тужит ) обрубаются тупым: ну, вы же не специалист, куда лезете.
Был случай, когда мой коллега горе-наркотического эксперта загнал в угол своими вопросами. Суд, спасая положение, оборвал адвоката модным «Ну, вы же не специалист!». На что защитник ответил: «Я — химик по первому высшему. Диплом привезти?». Допрос был продолжен. Оказалось, что эксперт оказался по высшему образованию математик, окончивший в Москве трехмесячные курсы по профилю экспертизы.
Был и у меня случай. Готовясь к одному делу, я воспользовался консультацией специалиста, часто проводящему интересующий меня вид экспертизы.
Специалист посоветовал мне ходатайствовать перед судом о постановке ряда вопросов, услышав которые, суд задрал голову к потолку, а глаза, вероятно, закатив, дальше затылка, произнес: «Ну, где вы это взяли и зачем такие вопросы, что они дадут?».
А далее суд совершенно случайно, так совпало, назначил проведение судебной экспертизы тому самому эксперту, к которому я обращался для консультации.
На исход дела это никак не повлияло. Эксперт был независим.
Правда, потом, некоторое время спустя, эксперт поинтересовался, мол, где рекомендованные им вопросы?
Ответ смотрите выше.
Занавес. И немая сцена. Люблю Гоголя.
эксперт поинтересовался, мол, где рекомендованные им вопросы?
Я в таких случаях не стесняюсь — пользуюсь своим правом расширить круг исследования.
Более того, судьи зачастую бравируют тем, что они не эксперты и не специалисты, а потому вдаваться в детали не могут, есть выводы в заключении и абзац.
Вот и я о том…
Помню случай, как я разбил заключение автоэксперта и дал свое. Суд назначил повторку в учреждение повыше. Там, естественно, эта камарилья из кожи полезла в защиту своего. Но, ничего толком не установив, подвергла обструкции мои прочностные расчеты. Защита настояла на вызове экспертов в суд.
— Почему вы критикуете прочностные расчеты, выполненные по ГОСТу целым доцентом, какие у вас знания наук о прочности?
— Я закончил нефтяной институт, проходил сопромат.
— Значит вы хорошо знаете этот ГОСТ?
— Да, разбираюсь.
— Тогда (адвокат открывает первый раздел ГОСТа — «Термины и определения») скажите, что такое второй инвариант девиатора тензора напряжений?
- :?
Суд отправил дело прокурору.
Уважаемый Владимир Николаевич! Я так понимаю, что на этот раз Вы приготовили нам так называемую шпаргалку, то есть госэксперты теперь не смогут сказать, что мы –де не умеем и нет таких методик и разрешений. Однако, вот берите и сделайте, а если не можете, то и не эксперты автотехники Вы, а если сделает госэксперт такое заключение, то скорее всего с ошибками (ну не любят они – эксперты- познавать и утреждать себя мыслительным процессом).
Есть возможность заставить группу госэкспертов с ЭКЦ вспотеть))).
а если сделает госэксперт такое заключение, то скорее всего с ошибками (ну не любят они, эксперты, познавать и утруждать себя мыслительным процессом)
Да, мыслительный процесс — это смерть для госа, уважаемый Динар Флоритович. Другое дело — обильные мыслевысеры типа диареи в результате несварения, потому что в голову они преимущественно едят. Но и это будет уже неплохо! Если гос проведет такие расчеты, а мы представим свои, то косить типа «нами не утверждено» будет сложно, и придется разговаривать по существу.
Владимир Николаевич я не понял -«Теперь необходимо установить среднюю деформацию лабораторного автомобиля. Это можно сделать, просуммировав площади пяти трапеций и найти высоту прямоугольника с основанием L=1.164 м и такой же площадью».
В формуле нет сумм площадей трапеций, а есть только величины деформаций в точках.
Если я правильно понял то среднюю деформацию устанавливают по средней площади, а не по величинам деформаций в точках.
И если вычислить среднюю деформированную площадь, из расчета, что высота каждой трапеции одинакова — средняя площадь деформации получиться 1,13 кв. м.
Если величина С не площадь то — «просуммировав площади пяти трапеций» - не понятно о чем речь.
И если берется средняя арифметическая величина деформаций шести точек то почему крайние две только половины.
Поясните пожалуйста.
Уважаемый Александр Иванович, давайте оставим слова адвокатам — это их инструмент, а мы с вами включим язык техники — математику. Выведем формулу для высоты прямоугольника, равного по площади двум трапециям с основанием h каждая.
Я прицепил документ к статье — рисунок «Вывод формулы для средней деформации". Разбирайтесь. Успеха!
:)
Теперь понятно. Это среднее арифметическое средних линий трапеций через их площади.
Ваши голоса очень важны и позволяют выявлять действительно полезные материалы, интересные широкому кругу профессионалов. При этом бесполезные или откровенно рекламные тексты будут скрываться от посетителей и поисковых систем (Яндекс, Google и т.п.).
Защита по сложным уголовным экономическим делам.
Борьба с фальсификациями и незаконными методами расследования. Опыт, надёжность, добросовестность!
Дорого, но зато качественно. Все встречи и консультации, в т.ч. дистанционные только по предварительной записи.
Консультации, дела.
Действую с интересом, спокойно и тщательно, очно и дистанционно.


Адвокатам, ведущим дело по ДТП, можно применить следующий прием, обкатанный адвокатом А.Э.Клявиным:
1. Настаивает на назначении экспертизы с вопросами о скорости с учетом повреждения автомобилей.
2. Пишет письмо в РФЦСЭ с вопросом, могут ли они установить скорость с учетом деформаций автомобиля. Получает ответ, что нет. :)
3. Если эксперт ничего не установил — выражает сомнение в его компетентности. Если что-то «наворочал» — достает письмо РФЦСЭ, программы подготовки автоэкспертов (где про это ни слова) и задает неприятные вопросы о том, как ему это удалось.