Так, на южном берегу одного из наших северных морей госэксперт не установил место столкновения по положению фары и багажника. Адвокат одного из участников обращается в Уфу для расчета места столкновения, а второй участник едет не куда-нибудь, а в столицу, где независимые эксперты ему пишут, что «очень может быть, что столкновение произошло на Вашей полосе, уважаемый …» и даже, почесав себе репу, из нее же рисуют схемы движения автомобилей «согласно физике». Уже теплее. Находят другую контору, куда уже следователь назначает экспертизу, и там, со ссылкой на первых гадальщиков, эксперты, один из которых оценщик, продолжают эти же фантазии.
Колхозное голосование? Да! И еще, по принципу «Пастернака не читал, но скажу» пишут нечто абсурдное про мою методику расчета места столкновения, даже формулы пишут, что-то туда подставляют и вычисляют, может и правильно, но не понимая совершенно, что и зачем.
Методику расчета места столкновения публиковал на Праворубе адвокат А.Куприянов, публиковал и я, но решил вернуться к этому вопросу еще раз, на простейшем примере – для экспертов, следователей и судей. На что надеюсь? По меньшей мере, на порядочность и мужество наших первых фантазеров – признают, что накуролесили, или будут стоять, как столпы правосудия?
Поэтому, сегодня – пример, а фактическое дело с фамилиями, паролями и явками – потом. На «Праворубе», Бастрыкину, Лебедеву … Пора. Смотреть концерт молча я не собираюсь.
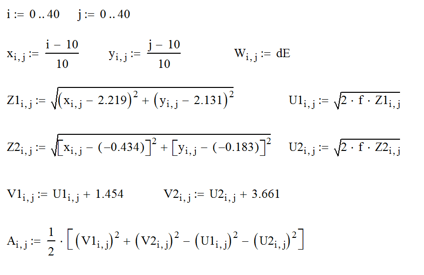
Итак, рассмотрим удар двух одинаковых деформируемых материальных точек массой 1 кг каждая. Их размеры столь малы, что место соударения совпадает с положением их центров масс. Точка №1 движется со скоростью v1=(7,0), или проекция ее скорости на ось X равна 7 м/с, а на ось Y – нулю. Точка №2 движется со скоростью v2=(-5,3). В начале системы координат XY они сталкиваются. Точки движутся с трением о поверхность, пусть замедление равно f=5 м/с2.
В результате удара между ними возникает действие и противодействие, или на первую точку действует импульс s=(-3, 3.842), и, соответственно, на вторую точку – противоположный импульс -s=(3, -3.842).
Очень важное замечание. Закон сохранения количества движения – рамочный закон, в его записи неизвестных больше, чем уравнений. Импульс можно приложить любой, но фактически реализуется процесс, в котором среди множества возможных импульс действует такой, который обеспечивает минимальные затраты энергии на деформацию объектов. Я этот импульс определил, а как – суть сейчас не в том.
Величина затрат энергии на деформацию составила 23.765 Дж. В результате удара точка №1 уменьшает свою скорость на 1.454 м/с и оказывается в конечном положении с координатами (2.219, 2.131), точка №2 – на 3.661 м/с и оказывается в (-0.434, -0.183). Это и является исходными данными для обратной задачи – по конечному положению, величине затрат энергии на деформацию и соответствующим ей изменениям скоростей, с учетом известных масс точек и замедления при движении, установить место их столкновения.
Рассмотрим область, в разумных пределах, от х=-1 до х=3 и от y=-1 до y=3, или размером 4х4 метра. В каждой точке (x,y) области с шагом 0.1 м определим Z1 – расстояние от этой точки плоскости до конечного положения материальной точки №1, и Z2 – расстояние от этой точки плоскости до конечного положения материальной точки №2.
Далее вычислим остаточные скорости материальных точек №1 и №2, как если бы столкновение произошло в этой точке плоскости (x,y), чтобы они могли попасть в свои конечные положения, или U1 и U2 соответственно.
Прибавляя к полученным значениям остаточных скоростей материальных точек U1 и U2 в рассматриваемой точке плоскости (x,y) значения изменения скоростей материальных точек, получаем величины их скоростей V1 и V2 в момент столкновения, если бы это столкновение имело место в точке (x,y) области.
Как финальный аккорд, в рассматриваемой точке плоскости (x,y) вычислим значение A – разность кинетической энергии обоих материальных точек до и после удара, или затраты энергии на их деформацию.
Результат выведем в виде изолиний и трехмерной поверхности, которую пересекает плоскость равного уровня энергии деформации 23.765 Дж.
На рисунке ниже – лист маткада с вычислениями.
На рисунке ниже – изолинии равных затрат энергии.
На рисунке ниже – трехмерная поверхность затрат энергии и плоскость уровня 23.765 Дж. Начало координат здесь смещено в точку (-1, -1), по осям абсцисс и ординат размеры в дециметрах. То есть реальная точка столкновения — это (10,10).
Как видно из результатов на графике изолиний, столкновение материальных точек могло произойти на выделенной красным цветом изолинии 23.765 Дж, в том числе в начале координат. Чтобы уточнить решение, на этой изолинии надо проверить выполнение законов сохранения импульса и момента импульса. Но для реальных автомобилей подобная область часто получается столь мала, что ее размеры не требуют дальнейших расчетов.
А экспертам хочу сказать, что если и это неясно, то бросьте заниматься ДТП. Одно дело громко говорить про законы физики, другое – их применять. В конце концов, народ должен знать своих героев поименно. А я помогу.
Ваши голоса очень важны и позволяют выявлять действительно полезные материалы, интересные широкому кругу профессионалов. При этом бесполезные или откровенно рекламные тексты будут скрываться от посетителей и поисковых систем (Яндекс, Google и т.п.).
Уважаемый Владимир Николаевич, огромное Вам спасибо!
Вы мне напомнили профессора, которого мне довелось услышать, к величайшему сожалению, всего один раз на лекции. Фамилии, к сожалению, тоже не помню. Он подменял коллегу.
В аудиторию зашёл приятнейшего вида, интеллигентный мужчина довольно таки преклонного возраста, опираясь на шикарную деревянную трость явно ручной работы.
В качестве понимания сути нашей работы он рассказал про одно свое дело. Обратился как-то к нему один следователь, бывший его ученик, с просьбой помочь раскрыть «висяк», — не люблю я этого слова, пояснил профессор, правильно говорить, не раскрытое убийство. Провели опросы, допросы, обыски и опознания всех родственников — ни одной зацепки. Тогда профессор попросил его описать место убийства. Дверь в квартиру была открыта и закрыта ключом(!). За столом стояли два прибора под чай(!). Убитая лежала на спине опрокинувшись со стула, после удара по голове сзади(!). Из ушей были вырваны золотые сережки с драгоценными камнями(!) Из квартиры ничего ценного не взяли. Тогда профессор задал всего один вопрос: «Кого из родственников Вы не допрашивали?» «Да всех опросили, у всех алиби. Не допросили пятнадцатилетнего племянника, который живет далеко на юге. Так разве он мог бы совершить такое убийство?» На что последовал ответ: «Убийца — племянник».
А дальше нам продолжил: «Что делать, если не все внимают тому, чему я их учу. Методом логического построения картины убийства, вырисовывается психологический портрет убийцы. Когда следователи пишут, что следов преступления на месте преступления не обнаружено, они расписываются в своей безграмотности и не желании работать. Преступник всегда на месте совершенного преступления оставляет свой психологический портрет. Составить его — задача профессионала. Останется только разыскать этого преступника. Что было и сделано в этом случае.»
Корочки по образованию у нас могут быть одинаковые, вот только мы все работаем по разному!
Корочки по образованию у нас могут быть одинаковые ...Уважаемый Евгений Алексеевич, Вы, конечно, правы про корочки. Но тут и корочки разные. Там — жиже. Но лезут же моськи на слона. Что тут поделаешь, кроме широкой огласки, после которой, благодаря хорошей индексации Праворуба, неминуемы большие репутационные издержки.
:)
Уважаемый Евгений Алексеевич!
То, о чём Вы рассказали (о методике профессора), имеет и другое обозначение: Моделирование действий преступника на месте преступления.
Вспоминаю один пример из следственной практики, приведённый нам в питерском институте (ЛИУСР), когда следователь смоделировал поведение злодея, вырвавшего у гражданского кассира сумку с крупной суммой денег. Прикинул — где тот мог ждать появления кассира, а это оказалась витрина киоска Союзпечати. И на этой витрине были найдены и зафиксированы следы рук; около — подобрана куча окурков, часть из которых принадлежала преступнику. Дальше — дело техники. По «пальчикам» быстренько установили личность свежеосвободившегося «из мест», прибыли к нему домой, когда тот, посвистывая, только что вылез из ванной, а на диване лежали похищенные денежки — целые до копеечки! На всё-про-всё ушло немногим более пары часов.
Вообще, считаю, что пора прекращать стесняться — если, к примеру, в кинологии успешно разоблачаются все эти «зоопсихологи» и «гуру» от дрессировки с указанием на конкретные персоналии, то в такой важнейшей отрасли, как судебная экспертиза, где довольно уютно чувствуют себя неучи, лодыри и эти...«чего изволите» — тем более необходимы указания на примеры «какими не надо быть». Разумеется, примеры эти должны быть иллюстрированы...
А, коль скоро, персонаж какой будет утверждать, что у него есть честь, достоинство и деловая репутация, применительно к конкретному разоблачению, полагаю, праворубовцы не останутся в стороне и укажут персонажу его истинное место…
А, коль скоро, персонаж какой будет утверждать, что у него есть честь, достоинство и деловая репутация
Я готов, уважаемый Андрей Юрьевич, как пионер 19 мая. Даже к частному обвинению. :D
Уважаемый Владимир Николаевич!
Или я что-то не уловил, но я не уверен, что не менее уважаемый Андрей Юрьевич именно Вас имел в виду под личиной некоего «персонажа», призывая праворубцев «не остаться в стороне». Вот я и не остаюсь в стороне, а высказываюсь.
С Вашим-то бесспорным авторитетом выказывать готовность стать к барьеру частного обвинения… Похоже на позу обидевшегося. Полноте, батенька!
Видимо, тут какая-то «непонятка»!
Либо АЮ следовало более конкретно выразиться, дабы не допускать разночтений.
Уважаемый Александр Эльмартович, под «личиной» Андрей Юрьевич имел в виду, как я понял, тех самых особо одаренных экспертизеров, способных по положению фары и багажника «Туле» установить место столкновения.
Им бы назвать свою контору «Ванга», и все бы встало на места, а то они еще и физику «не читали, но могут сказать». Когда дело с моей стороны дойдет до их фамилий, полагаю, что любой из них, как отметил Андрей Юрьевич,
будет утверждать, что у него есть честь, достоинство и деловая репутация, применительно к конкретному разоблачению
Именно так, Уважаемый Владимир Николаевич, — извините за резкость — достала уже эта бездарь — ну, хоть бы один «вылез из-под коряги» и попробовал Вам оппонировать — нет, они будут продолжать сидеть по углам и плодить свою ахинею на радость «правоохранителям». Ну, а Вам — огромное спасибо, Вы знаете за что...(handshake)
Уважаемый Александр Эльмартович, полагаю, я выразился вполне определенно — своих в обиду не даем!
Молодца!!! Так я и думал!
Уважаемый Андрей Юрьевич, а где грань, после которой начинается соблюдение техники безопасности?
Одной бравады недостаточно.
Давно интересуюсь, Уважаемый Александр Валерианович, — Вы эксперт в какой области?
Уважаемый Андрей Юрьевич, я простой седой инженер.
я простой седой инженерУважаемый Александр Валерианович, в наше время это звучит очень гордо. Нет у нас сейчас молодых инженеров, одни бакалавры. И наличие современного диплома не означает наличие образования.
Уважаемый Владимир Николаевич, солидарен с Вами. (handshake)
Кроме того эрудиция считается сегодня позором, а ограниченная специализация и сертификаты на стене офиса в красивых рамочках, — благом для общества.
Даже Путин уже понял, что стране нужны инженеры, а не сертификаты на стенках от «Рогов и копыт».
Проблема собственных квалифицированных инженерных кадров — это проблема выживания любой страны. Эта проблема была бы решаема, если бы не мешала проблема квалифицированных кадров в области юриспруденции.
Я всегда о вас помню, как образцовом эксперте. Жаль никак не попадается подходящее дело, чтобы поработать вместе. Сейчас надеюсь на судебное оправдание по одному делу о ДТП. Очень показательному. Погибла бабушка, мать одного непростого человека, только поэтому дело дошло до суда, где я его и взял.
Хотите в порядке анонса анекдот? В следственном эксперименте (там их было пять, пока наконец «получилось») понятые выполняли выполняли активную роль — сами мешочки бросали, сами мерили. Представляете, прибываешь на обыск, а там понятые по шкафам шарят — ищут!
Уважаемый Алексей Анатольевич, сами мешочки бросали, сами мерили — это наши скрепы
:(
Ваши голоса очень важны и позволяют выявлять действительно полезные материалы, интересные широкому кругу профессионалов. При этом бесполезные или откровенно рекламные тексты будут скрываться от посетителей и поисковых систем (Яндекс, Google и т.п.).
Консультации, дела.
Действую с интересом, спокойно и тщательно, очно и дистанционно.
Дорого, но зато качественно. Все встречи и консультации, в т.ч. дистанционные только по предварительной записи.
Защита по сложным уголовным экономическим делам.
Борьба с фальсификациями и незаконными методами расследования. Опыт, надёжность, добросовестность!


Уважаемый Владимир Николаевич!
Ну и что с того, что Вы уже говорили об этом? Повторение, как известно, мать учения.
Хотя нашим госэкспертам..., хоть кол на голове теши!
Вот, как раз, для «ихнего» сведения нелишне будет напомнить, что Ваша методика внесена в список Минюста в качестве рекомендуемой к использованию литературы.
Уж, пожалуйста, сделайте такое напоминание!
Уважаемый Александр Эльмартович, тут все хуже. Госы как раз и не установили место столкновения, им не позволила это их методика.
Нашлись негосы, которые по принципу «что изволите» могут установить все, что нужно, хоть по положению Луны относительной созвездия Тельца.
При этом, как мне кажется, к организации «колхозного голосования» причастен следователь, который, в этом случае, имеет интерес.
:)
Увы, Владимир Николаевич, следователи напрочь забывают о двух критериях, которым должен соответствовать эксперт, будь он хоть трижды гос, хоть пятижды негос. Это 1)компетентность и 2)незаинтересованность в деле.
Не только следователи, но и судьи и прокуроры во главу угла ставят корочку госа, а не его компетентность, оставляющую желать…
во главу угла ставят корочку госа, а не его компетентностьУважаемый Александр Эльмартович, знаю я одного дюже компетентного эксперта. И Вы знаете. Помните, как он в 2008 году на конференции в Уфе пальчики топырил?
А своей известностью он мне обязан, досточно на Яндекс или Гугл сходить.
Весь вопрос в том — а им это надо? :D
Уважаемый Владимир Николаевич!
«Дюже компетентных основоположников» — пруд пруди!
И как они пальчики топырят — тоже известно.
А вопрос Вы немного не так поставили. Надо бы вместо "… а им это надо?", спросить: «А сколько им надо?»
Помнится, в отношении другого «основоположника» из РФЦСЭ дело возбуждалось за взятку на сумму 100 т.р. Теперь он, наверняка, поболе запрашивает!
Теперь он, наверняка, поболе запрашивает!Тот «основоположник» сейчас не запрашивает, а платит. Как он может запрашивать, проживая в бегах от СК в государстве Израиль, 42268, г. Нетания, ул. Шломо Амелех, дом 62, кв. 26, о чем конкретно говорится на сайте Одинцовского суда?
Ну Вы даете, уважаемый Александр Эльмартович, сайт Одинцовского суда не читаете? Мдя-а-а ...
(giggle)
Виновать! Справлюся! И в Одинцовский суд загляну сей же секунд!
А сообщением своим, уважаемый Владимир Николаевич, — зело меня порадовали, прямо, "… сердце маслом!".
Но ведь на этого беглого эксперта до сих пор нахожу ссылки в заключениях таких же госов.
Как теперя нам быть в суде?
Требовать, чтобы вымарывали ФИО врага народа, уважаемый Александр Эльмартович, как обычно :)
Да уж, уважаемый Владимир Николаевич, придётся, видимо, так и поступать, вопрошая: И этому Замаховскому мы должны верить??!!
На сайт Одинцовского суда заглянул, и вот что приходит на ум.
В грядущем мае исполнится три года, как избрали меру пресечения арест. Но почему следствие дало возможность утечь за рубеж?
Кроме того, за три года любой псориаз излечить можно бесследно!
Либо у него другие болячки обнаружились?
Наконец, интересно было бы узнать, чтО именно предпринимает следствие, дабы вернуть утёкшего в лапы родной Фемиды, учитывая, что оттель не выдают беглых.
интересно было бы узнать, чтО именно предпринимает следствие, дабы вернуть утёкшего
Уважаемый Александр Эльмартович, какие проблемы? Бастрыкина на Праворуб!
Приглашайте…
Уважаемый Владимир Николаевич!
Как сие технически провернуть — не знаю. Может Вы вместе с администратором праворуба сообразите такое приглашение?
В общих же интересах!
Предвижу, что Бастрыкин не снизойдёт, так это и будет расценено, как уклонение от исполнения своего долга…
Уважаемый Александр Эльмартович, отложим это пока. Если мне придется писать Бастрыкину про экспертную фальсификацию этого дела, я сам его и приглашу.
Вот это будет дельно!
А то — кто я такой, чтобы САМОГО БАСТРЫКИНА приглашать? Весовые категории совпадать должны. Ну не примет тяжеловес вызова «мухи», и будет прав.
Так что, уважаемый Владимир Николаевич, я уже в азарте потираю руки!
следователи, но и судьи и прокуроры во главу угла ставят корочку госа, а не его компетентность, оставляющую желать…как вс-таки отличаются суды общей юрисдикции от арбитражных судов. давеча рассматривали в арбитражном процессе вопрос о назначении строительной экспертизы. судья на экспертов ЛСЭ руками замахал.В итоге — частная экспертная организация, что, к сожалению, тоже не гарантия. Здесь как среди адвокатов, хирургов и архитекторов — выбирают по персоналиям.