И так как наши люди
Введение
Модули управления подушек безопасности используют сложные алгоритмы для принятия решений о развертывании на основе оценки серьезности аварии, связанной с изменением скорости движения транспортного средства или замедления в течение некоторого времени. Из-за того, что алгоритмы управления являются ноу-хау производителя, их фактические значения порогов скорости, ускорения, или деформации (пути) для развертывания подушки безопасности при столкновении не известны. Значения этих параметров и алгоритмы производители автомобилей не разглашают, ограничиваясь декларативными «сильный удар» или «удар достаточной силы» в руководствах владельцев, а дилеры их просто не знают, при этом разыгрывая перед клиентами спектакли с тестирующими модули управления приборами.Действительно, столь размытые критерии нетехнического характера создают тупиковые ситуации при предъявлении судебных претензий со стороны владельцев автомобилей, у которых подушки безопасности не сработали в ДТП, или сработали произвольно без видимых причин. Это так же создает благоприятную почву для мошеннических инсценировок ДТП, заключающихся в «перекидке» на практически не деформированный автомобиль панелей со сработавшими подушками безопасности.
Однако величины технических параметров, необходимые для развертывания подушки безопасности, могут быть установлены путем исследования результатов лабораторных краш-тестов автомобилей конкретных производителей.
Задачи статьи
1. Получение информации и понимание работы системы управления подушками безопасности и ее компонентов.2. Получение информации и понимание, когда должны или не должны сработать подушки безопасности.
Содержание статьи
Статья содержит введение в системы управления подушками безопасности и процессами их срабатывания, краткую историю датчиков удара. Описаны переменные, используемые в алгоритмах развертывания подушек безопасности, приведены сравнительные примеры с использованием нескольких запатентованных систем управления. Показан способ оценки диапазона скорости, замедления или деформации (пути), являющегося порогом для развертывания подушки безопасности.Процесс развертывания подушек безопасности
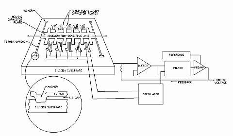
Целью подушки безопасности является обеспечение упругой мягкой прокладки между пассажирами и интерьером автомобиля. Для достижения этой цели подушки должны быть полностью наполнены газом в короткий промежуток времени и ранее, чем пассажиры вступят с ними в контакт. Быстрое развертывание подушки потенциально может привести к смертельным травмам людей, если они уже находятся в контакте с подушкой безопасности во время ее раскрытия. Поэтому подушки безопасности должны иметь систему управления, которая может правильно распознавать, что происходит столкновение. При этом распознать достаточно рано, чтобы подушка безопасности успела раскрыться безопасно.Подушка безопасности раскрывается после того, как электрический сигнал на раскрытие послан детонатору от модуля управления подушкой безопасности. Этот сигнал инициирует химическую реакцию, которая быстро надувает газом воздушный мешок из нейлоновой ткани. Газ содержит частицы пыли из материала, используемого для смазки мешка (как правило, тальк и кукурузный крахмал). После полного развертывания подушки газ выходит через небольшие вентиляционные отверстия. Отверстия имеют размеры и расположены так, чтобы уменьшать объем мешка с разной скоростью, в зависимости от типа транспортного средства.
История датчиков удара
Ранние системы раскрытия подушки безопасности использовали для обнаружения удара механические датчики, которые затем были изъяты из употребления на американском рынке около 1994 года. Такие датчики, как, например, «rolamite», содержали металлические ролики, стабилизированные в положении режима ожидания с помощью пружины или магнита.
При ударе за пределами предназначенного порога пружина или магнит не могли больше удерживать металлическую массу на месте. Масса перемещалась и нажимала на контакт, посылая электрический сигнал на модуль управления подушки безопасности. Системы с механическими датчиками, как правило, неточны в интерпретации небольших столкновений. Движения в механических датчиках может быть недостаточно при лобовых столкновениях, из-за чего срабатывание может происходить с задержкой. Современные датчики удара сейчас основаны на микроэлектромеханических системах (MEMS).
Новые системы распознавания удара
Новые датчики MEMS удара измеряют ускорение акселерометром, который посылает непрерывный поток данных в модуль управления подушки безопасности. Акселерометры, как правило, пьезоэлектрические или переменно емкостные датчики. Наиболее распространенным MEMS акселерометр, который используется сегодня, ADXL-50 производства Analog Devices.
Автору приходилось встречать заключения
https://youtu.be/ycThnu3k_vc
По мере того, как прицеленные к упругим элементам массы движутся относительно корпуса датчика за счет ускорения, специальные пластины, прикрепленные к массам, приближаются к другим неподвижным пластинам. Изменение расстояния между пластинами влияет на емкость датчика, или на способность удерживать электрический заряд. Это изменение емкости легко измеряется, и затем превращается в изменение напряжения. Изменение напряжения напрямую зависит от силы инерции из-за ускорения, а показания интерпретируются модулем управления подушки безопасности как ускорение. Алгоритм модуля управления может определить, является ли развертывание подушки безопасности необходимым, на основе заложенной в него математической модели импульсов ускорения во времени.
Процесс принятия решения
Модуль управления подушки безопасности (ACM) получает непрерывный сигнал от каждого датчика MEMS и записывает данные в течение определенного периода после специфического события. С помощью центрального процессора (CPU) он выполняет алгоритмические вычисления и дает или не дает команду для развертывания подушки безопасности. Алгоритмы определения степени тяжести удара работают путем оценки одного или нескольких кинематических параметров (ускорение, его производных или интегралов), список которых приведен приведены в таблице 1 ниже. Примеры блок-схем алгоритмов принятия решения показаны на следующих рисунках.Таблица 1.

Блок-схема алгоритма, использующего параметры: изменение скорости, путь и плотность энергии.

Блок-схема алгоритма, использующего параметры: замедление и рывок (толчок).

Блок-схема алгоритма, использующего параметры: ускорение и изменение скорости.

Варианты алгоритмов
Системы распознавания удара сильно различаются между патентами. Большинство систем, запатентованных после 1995 года, используют изменение скорости «дельта-V», ускорение, или рывок, как параметры для включения системы пробуждения и для раскрытия подушек безопасности. Последние системы также включают системы анализа наличия пассажиров и анализа расстояния до пассажира. В подходах, использованных в период между 1995 и 2008 годами несколькими изобретателями, различия весьма существенны. Однако команда для срабатывания подушек безопасности зависит от одного или более из набора основных кинематических параметров, описанных выше.
Когда раскрываются подушки безопасности
В соответствии с позицией Национального управления по безопасности движения департамента транспорта США (закреплено в соответствующем стандарте США, которого придерживаются и ряд широко известных иностранных производителей автомобилей), «подушки безопасности, как правило, предназначены для развертывания при фронтальных и почти фронтальных столкновениях, которые сравнимы с ударом в неподвижный жесткий барьер на скорости примерно от 8 до 14 миль в час». Определенные пороговые значения откалиброваны каждым производителем в соответствии с размером транспортного средства и жесткостью его конструкции. Система управления активируется для различения событий, таких как попадание в выбоину или столкновение с другим автомобилем. Это, как правило, имеет место, когда два последовательных импульса ускорения менее (примерно) -1g для небольших транспортных средств или менее (примерно) -2g для больших автомобилей, происходят в течение 10 миллисекунд. После пробуждения принимается решение либо раскрыть подушки безопасности, либо вернуться в нормальное состояние.Из-за статуса «ноу-хау» алгоритмы управления и значения кинематических параметров для развертывания подушки безопасности при столкновении не известны. Однако, используя директиву NHTSA для подушек безопасности, в части их разворачивания при фронтальном ударе в барьер при скорости от 8 до 14 миль/ч, диапазон пороговых значений кинематических параметров может быть оценен с помощью известных значений жесткости транспортных средств и их массы.
Оценка пороговых значений
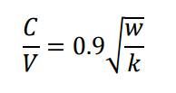
При столкновении величина деформации С (в дюймах) при заданной скорости удара V (в милях в час) связана с отношением жесткости транспортного средства k (в фунт/дюйм) и его весом w (в фунтах) с помощью следующего уравнения:
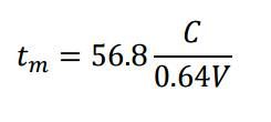
Время от начала воздействия до момента достижения максимального импульса при ударе:
Заменяя в первом выражении отношение C/V из второго выражения, получаем:
Жесткость автомобиля k может быть определена из результатов краш-тестов с учетом массы автомобиля m, деформации C, и скорости удара V. Жесткость автомобиля рассчитывается по формуле:
Таблица 2 показывает соответствующий спектр замедлений и деформаций (перемещений) в краш-тестах на фронтальный удар, для автомобилей, на которых имеются подушки безопасности, учитывая расчетное время для максимального импульса удара и для различных автомобилей по жесткости и массе.
Таблица 2

Видно, что нет существенной корреляции между весом автомобиля и его жесткостью. Две машины аналогичного веса могут иметь очень разные значения жесткости, как видно из сравнения 2010 Ford Fusion и 2010 Toyota Prius. Оба транспортных средства имеют примерно одинаковый вес автомобиля, но жесткость переда Toyota Prius значительно больше, чем жесткость Ford Fusion. Так как величина деформации и продолжительность воздействия на Ford Fusion больше, подушке безопасности Ford Fusion нужно будет раскрыться в пределах значения замедления меньших, чем те, которые требуются для Toyota Prius.
Сравнение значений
Условия реальных столкновений часто не совпадают с ударом в жесткий неподвижный барьер, и это надо учитывать при сравнении диапазонов фактических (из краш-тестов) и расчетных значений параметров. Продолжительность воздействия существенно не изменяется со скоростью удара, но в значительной степени зависит от типа столкновения. Подушки безопасности могут не развернуться, если есть жесткий удар, как наезд на столб, где деформируется только одна часть автомобиля. Подушки безопасности иногда не срабатывают, когда воздействие происходит постепенно, в течение длительного периода времени, как, когда автомобиль едет под или над другим объектом. Подушки безопасности могут не развернуться в столкновениях, в которых относительная жесткость столкнувшихся автомобилей сильно отличается. Например, столкновение передней части одного автомобиля и боковой стороны другого автомобиля. Кроме того, столкновения, которые происходят при острых углах, не всегда приводят к развертыванию подушек безопасности, так как значительного замедления в направлении продольных осей автомобилей (в направлении, измеряемом датчиком удара) не происходит.Пример: подушки безопасности не раскрылись
Примером удара, где было значительное изменение скорости, но фронтальные подушки безопасности не сработали, было ДТП с участием Chevrolet Equinox 2007 года со встречным мотоциклом Harley-Davidson. Модуль управления подушки безопасности в Equinox зафиксировал максимальное изменение скорости 9.27 миль в час. Это значение находится в пределах диапазона от 8.0 до 14.0 миль в час, в котором ожидается развертывание подушек безопасности (как в случае фронтального удара в жесткий неподвижный барьер). Однако максимальное замедление было 3.27g. Это замедление было значительно ниже расчетного значения в диапазоне развертывания от 7.5g до 13.2g, как показано в таблице выше. Таким образом, фронтальные подушки безопасности не должны были сработать.Пример: подушки безопасности раскрылись
Примером удара, который не привел к существенному изменению в скорости, но подушки безопасности раскрылись, было ДТП с участием Chevrolet Corvette 2007 года, который снес несколько дорожных знаков, деревьев и дорожных столбиков на очень высокой скорости. Автомобиль ударил первый объект на скорости более чем 60 миль в час, и модуль управления подушек безопасности зафиксировал максимальное изменение скорости 4.96 миль в час, что значительно ниже диапазона от 8.0 до 14.0 миль в час, в котором ожидается развертывание подушек безопасности (как в случае фронтального удара в жесткий неподвижный барьер). К счастью для пассажира и водителя, зафиксированное максимальное замедление во время удара было 11.3g, которое находится выше расчетного порогового диапазона от 6.1g до 10.6g из таблицы выше. В результате подушки безопасности раскрылись и спасли жизнь пассажира и водителя.Заключение
Подушки безопасности должны иметь систему управления, которая может распознавать удары правильно и достаточно рано, и раскрывать подушки безопасности безопасно. Системы развертывания обычно используют электронные датчики, которые постоянно сообщают ускорение автомобиля модулю управления подушками безопасности. Модули используют сложные алгоритмы, чтобы принять решение о раскрытии подушек безопасности на основе одного или более кинематических переменных. Из-за статуса «ноу-хау» алгоритмов развертывания значения скорости, ускорения или деформации, используемые в этих алгоритмах, неизвестны. Вместо этого, диапазоны значений скоростей удара, замедлений или деформаций могут быть рассчитаны на основе данных краш-тестов и затем использованы для экспертной оценки, должны ли были раскрыться подушки безопасности в случае конкретного столкновения.Ссылки на источники
1. Collision Safety Institute. (2011). Bosch Crash Data Retrieval System – Crash Data Retrieval. Data Analyst Course Manual.2. Huang, Mathew. (2002). Vehicle Crash Mechanics. CRC Press.
3. US Department of Transportation National Highway Traffic Safety Administration. (2003). What You Need to Know About Air Bags — DOT HS 809 575.
Об авторах
Джесси Кендалл получил степень бакалавра наук в области гражданского строительства в Университете Вермонта в Берлингтоне, штат Вермонт. Он завершил свою инженерную стажировку в Денвере, штат Колорадо, работая в строительных консалтинговых фирмах, прежде чем стать лицензированным профессиональным инженером в шести штатах. С более чем пятнадцатью лет опыта в гражданском строительстве, Джесси Кендалл сейчас живет и работает в Калифорнии в Института анализа риска и безопасности, специализирующимся в области судебной инженерии и реконструкции обстоятельств ДТП.Доктор Соломон получил степень бакалавра наук, магистра наук и доктора в области машиностроения в Лос-Анджелесе. Доктор Соломон также имеет профессиональные инженерные лицензии. Доктор Соломон проводит исследования в области реконструкции ДТП и биомеханике в течение более 40 лет, имеет более чем 200 научных публикаций в международных изданиях, доклады и презентации. Им и в соавторстве написаны 13 книг. Он работал в качестве старшего научного сотрудника с RAND Corporation, преподавал на факультете в Высшей школе RAND, в Калифорнийском университете, Университете Южной Калифорнии, в Военно-морской аспирантуре, Университете Джорджа Мэйсона и академии шерифов Orange County.
Все стати автора на «Праворубе».
Ваши голоса очень важны и позволяют выявлять действительно полезные материалы, интересные широкому кругу профессионалов. При этом бесполезные или откровенно рекламные тексты будут скрываться от посетителей и поисковых систем (Яндекс, Google и т.п.).
| 1. | Air Bag Deployment | 1 MB | 73 |
Уважаемый Владимир Николаевич, действительно некоторые гос эксперты такую ахинею несут, что слов нет.
Если они еще и за подушки возьмутся, то уйду в палату к Наполеону.
Я понял, что критерием срабатывания подушек безопасности является разница величины ускорения, полученная от датчиков расположенных возле бампера и передней панели.
Полагаю, для получения полной картины начала критической деформации кузова достаточно расположить восемь датчиков. Слева и справа на кузове автомобиля,- возле бамперов, на передней панели и на заднем щите.
Информации с этих акселерометров будет достаточно для принятия решения о срабатывании нужной подушки. Естественно в эту систему включены датчики присутствия пассажира и преднатяжители ремней.
Имеющиеся сейчас в большом ассортименте компоненты и простые вычислители позволяют оборудовать такой системой все автомобили.
Раньше датчики были размером с пятилитровую кастрюлю.
Современные датчики, разместились на клавишах.
На снимке два датчика, для оси Х и У.
Я понял, что критерием срабатывания подушек безопасности является разница величины ускорения, полученная от датчиков ...Уважаемый Александр Валерианович, ценность этой статьи не в «разоблачении» засекреченных алгоритмов автопроизводителей, а в обобщении. Есть ряд диапазонов параметров (из краш-тестов), в которых подушки на конкретной модели автомобиля срабатывают. Есть автомобиль после ДТП. Сравниваем параметры и делаем вывод.
диапазоны значений скоростей удара, замедлений или деформаций могут быть рассчитаны на основе данных краш-тестов и затем использованы для экспертной оценки, должны ли были раскрыться подушки безопасности в случае конкретного столкновения.
Их логика ограничена примитивной цепочкой «был удар – подушки не сработали – значит, не исправен датчик удара»Да уж, очень «убедительная» логика, но к сожалению, большинство «госов» пишут свои заключения именно так, а у нас теперь есть отличное подспорье, для опровержения подобных выдумок.
у нас теперь есть отличное подспорьеДа уж, представляю, уважаемый Иван Николаевич, допрос эксперта в суде типа:
1. Какой алгоритм использован в модуле управления данного автомобиля?
2. Какие пороговые значения кинематических параметров содержит данный алгоритм, и не относятся ли эти пороговые значения к автомобилю другой модели?
3. Какой датчик (сенсор) удара имеется на данном автомобиле? Каков принцип его работы и каковы параметры его калибровки для данной модели автомобиля?
4. Использовано ли Вами специальное программное обеспечение на основе алгоритмов Гаусса-Ньютона и специальное оборудование для установления параметров калибровки датчика удара?
5. Какие кинематические параметры используются в алгоритмах распознавания удара?
6. Что такое рывок (толчок), что означают буквы da и dt в формуле? Какие наибольшие рывки (толчки) допускаются алгоритмом распознавания удара в этом автомобиле?
7. Каково было время удара этого автомобиля в этом ДТП?
При этом на конкретной судебно-экспертной методике американцев из из судебно-экспертного журнала. Жванецкий отдыхает (rofl)
Да, примерно такими вопросами «госы» обычно и загоняются в тупик, после чего суд, как ни старается вытянуть дело, но всё равно бывает вынужден назначить повторную экспертизу, проведение которой поручает эксперту, хотя бы знакомому с Нютоном и Гауссом ;)
Уважаемый Владимир Николаевич, по моему делу «эксперт» установил взглядом неисправность турбины и генератора на автомобиле, причем так убедительно, не моргнув глазом, хотя я на «пальцах» показал ему, что он несет откровенную чушь. Судья с ним согласилась — то ли в школе физику не любила, то ли в ней бум-бум, а может и в сговоре с «экспертом». Слава Богу Мосгорсуд поправил. И ведь продолжает сей ученый муж штамповать экспертизы, ибо у суда нет оснований не доверять своему назначенцу.
то ли в школе физику не любила, то ли в ней бум-бум
Уважаемый Евгений Алексеевич, а по моему надо начинать с того, что и основы государства и права она тоже не любила. Куда не плюнь — везде бум-бум. Скрепы, однако :(
Уважаемый Владимир Николаевич, у меня сейчас по двум делам судьи по новой оттрактовали вступившие в законную силу решения судов, обязательные для судов в силу ч. 2 ст. 61 ГПК РФ — преюдиция.
Посмотрим, что по этому поводу скажет апелляция. Мне уже самому интересно. Потом поделюсь результатом рассмотрения.
А в целом, главное нам не прогибаться и все будет в порядке! (handshake)
Уважаемый Сергей Иванович, видео со старой леди несомненный фейк. Это видно из покадрового просмотра. Водитель поднимает что-то похожее на подушку безопасности руками с колен. На раскадровке интервал между кадрами 0.03с — слишком большое время эта «подушка» раскрывается, а голова водителя от удара не смещается назад. Так что, эксперта не обманешь.
Второе видео реально.
Уважаемый Владимир Николаевич! 1 ролик – предостережение – никогда не обижайте дам – последствия непредсказуемые(giggle). 2 ролик – предостережение – никогда не двигайтесь непристёгнутыми ремнями безопасности – мощь маленькой коробочки сродни удару в лицо боксера-профессионала(muscle). Всех с праздником!
Очень умная и своевременная статья. Спасибо!
Ваши голоса очень важны и позволяют выявлять действительно полезные материалы, интересные широкому кругу профессионалов. При этом бесполезные или откровенно рекламные тексты будут скрываться от посетителей и поисковых систем (Яндекс, Google и т.п.).
Дорого, но зато качественно. Все встречи и консультации, в т.ч. дистанционные только по предварительной записи.
Защита по сложным уголовным экономическим делам.
Борьба с фальсификациями и незаконными методами расследования. Опыт, надёжность, добросовестность!
Консультации, дела.
Действую с интересом, спокойно и тщательно, очно и дистанционно.


Уважаемый Владимир Николаевич, большое Вам спасибо! Очень ценный для меня материал. Были в практике дела о нераскрывшихся подушках. Беру на вооружение! :)
Владимир Николаевич, а что по японцам и европейцам? У них есть рекомендации подобные директиве NHTSA?
Уважаемый Артем Данилович, по меньшей мере, эти автопроизводители подписались, что будут следовать стандартам США.
По большому счету это не так важно, так как набор значений параметров можно рассчитать из краш-тестов. Тем более, для подушек безопасности NHTSA проводит специальные краш-тесты «Low Risk Deployment». Это поле еще нами не пахано, все впереди.
Беру на вооружение!Это правильно, Артем Данилович. Главное — не читать в рунете «глубоконаучные» измышления, в том чиcле, исходящие от госэкспертов и МАДИ, а пользоваться научными статьями SAE или NHTSA. Хотя иной раз смеха ради можно :D