Установление места столкновения автомобилей для случая разворота автомобиля вблизи места столкновения
Первая часть методики содержит метод установления затрат кинетической энергии автомобилей на деформацию в каждой точке дороги, как в возможном месте столкновения. Из установленных затрат энергии на деформацию автомобилей и их масс получают величины изменения скорости автомобилей в результате удара. Тогда зная конечное положение центров тяжести автомобилей для каждой точки дороги можно установить и их скорости в момент столкновения как сумму остаточной скорости и изменения скорости с учетом их знаков, а, значит, и установить затраты кинетической энергии на деформацию. Из сравнения полученного поля этой энергии с фактическими затратами энергии на деформацию определяется место столкновения.
Вторая часть методики содержит алгоритм уточнения, если полученная в первой части область достаточно велика, или велики затраты энергии на вращение автомобилей в результате эксцентричного удара.
Однако в ряде часто встречающихся случаев энергию вращения можно исключить сразу, при использовании несколько измененного алгоритма первой части.
Теория
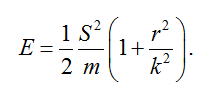
Пусть на некоторый неподвижный объект массой m и с моментом инерции J=k2m (k – радиус инерции объекта) относительно вертикальной оси, проходящей через его центр тяжести С, действует импульс S.
В результате объект получает скорость центра тяжести и скорость вращения
Тогда кинетическая энергия объекта есть сумма энергий поступательного и вращательного движений
Второй член в скобках, отношение квадрата плеча импульса к квадрату радиуса инерции, может быть близок к единице, когда плечо импульса сопоставимо с радиусом инерции. Или остаточная кинетическая энергия объекта практически удваивается за счет эксцентричности удара. Согласно теореме Гюйгенса-Штейнера момент инерции объекта относительно произвольной неподвижной оси равен сумме момента инерции этого тела относительно параллельной ей оси, проходящей через центр тяжести объекта, и произведения массы тела на квадрат расстояния между этими осями.
Рассматривая начальное и конечное положение объекта, на самом объекте или вне его всегда можно найти точку, как точка О на рисунке, перемещение которой в результате удара было наименьшим, а движение объекта можно представить как сумму перемещения этой точки и вращения объекта вокруг нее. Суммарная кинетическая энергия объекта при этом не изменится – это инвариант, не зависящий от способа расчета. Однако использование такой точки вместо центра тяжести, как фиктивный центр тяжести, позволит исключить из выражения для кинетической энергии вращательную часть. При этом, как следует из теоремы Гюйгенса-Штайнера, исключается возможная наибольшая величина количества вращательного движения.
Пример
Рассмотрим столкновение двух заторможенных одинаковых автомобилей массой 1324 кг, с моментом инерции 1750 кг*м2, смоделированное в программе Virtual Crash. Левый на рисунке (синий) в момент столкновения имел скорость 18.8 км/ч, после удара — 22.4 км/ч. Правый (зеленый) в момент столкновения имел скорость 68.8 км/ч, после удара — 32.9 км/ч. Или, в результате удара синий автомобиль изменил свою скорость на обратную на 18.8+22.4=41.2 км/ч, зеленый уменьшил скорость на 68.8-32.9=35.9 км/ч.

Зеленый автомобиль в результате практически центрального удара существенно не развернуло. Поэтому для него будем рассматривать положения его центра тяжести в момент удара +2.4м по оси Х, и +0.4 м по оси Y относительно точки столкновения.
Синий автомобиль, как видно из рисунка, существенно развернулся в результате эксцентричного удара. Развернулся вокруг некоторой точки контура задней части, находящейся между положениями задней части его правого заднего колеса в момент удара и в конечном положении. Далее принимаем эту точку за фиктивное положение его центра тяжести, чем избегаем сложных расчетов по второй части методики. Положение этой точки относительно точки столкновения в момент удара было -2.8м по оси Х и -2.1м по оси Y.
Далее проверяем область дороги с шагом 0.1м. Листинг программы для MathCad приведен в приложении к статье.

Как видно из полученного поля затрат энергии на деформацию, без учета вращательного движения, в данном случае сильно исказившего бы результат, место столкновения находится в точке с координатами 6.8м по оси Х и 4.0м по оси Y. Что мы и видели выше на рисунке со схемой столкновения.
Из рассмотрения поля затрат энергии на деформацию в трехмерном виде видно, что расчетная область места столкновения мала, и дальнейших уточняющих расчетов не требуется.

Резюме
Теоретическая механика разработана в общем виде. И сейчас, и в будущем, вместе с научно-техническим прогрессом, возникают и будут возникать задачи, которых нет в учебниках, но способы их решения давно есть. Это – одна из таких задач. Экспертам ее надо усвоить, а адвокатам – взять на заметку. Если же эксперты в суде будут читать молитвы типа «нами не проверено, не апробировано, науке неизвестно …», не верьте таки шаманам, даже если поверят прокурор и судья. Придет время, и все встанет по своим местам.
Ваши голоса очень важны и позволяют выявлять действительно полезные материалы, интересные широкому кругу профессионалов. При этом бесполезные или откровенно рекламные тексты будут скрываться от посетителей и поисковых систем (Яндекс, Google и т.п.).
| 1. | Mathcad - 1 | 375.6 KB | 115 |
Уважаемый Владимир Николаевич, ну хорошо, пусть будет 99.9%
Уважаемый Владимир Николаевич, прочтение Ваших публикаций заставляет меня вспоминать школьные годы, а точнее уроки физики, которую я, если честно, не очень любила. Для того, чтобы понять, что написано в учебнике мне приходилось на несколько раз перечитывать параграф. (blush)
Сейчас, конечно, проще. Читаю Вашу публикацию, улавливаю общий смысл (что это, для чего, при каких обстоятельствах) и делаю «опознавательную» заметку. Вдруг когда пригодится!
Спасибо Вам за публикации, они действительно полезные!(Y)
делаю «опознавательную» заметку. Вдруг когда пригодится!
Уважаемая Алёна Александровна, для этого и пишу. Чтобы юристы знали, что есть и где искать, когда понадобится :)
Динозавры вымирают.
Россия в плане подготовки инженерных кадров оказалась на задворках цивилизации. Россия вновь оказалась в ситуации 1929 года: инженеров новой формации просто некому учить. Нам снова нужно ввозить из-за границы людей, которые будут учить тех, кто уже потом будет учить массы.
Источник: «Мы снова оказались в 1929 году…»
Вот ведь вопрос — спасут ли госавтоэксперты Россию? Они же знают все ... (giggle)
Вот ведь вопрос — спасут ли госавтоэксперты Россию? Они же знают все… (giggle) Спасут, конечно, на них вся наша надежда. :(
Кажется, проблема нехватки кадров актуальна не только у физиков, математиков и т.д. Гуманитарные науки тоже скоро некому будет преподавать: подрастающее поколение не знает историю, литературных классиков и их произведения, о русском языке я вообще молчу!
Уважаемая Алёна Александровна, упаси нас Боже или спаси нас Боже.
Разница в одну букву, а как меняется отношение.
Статья о том, как правила написания скобок в русском языке отражается на толкование закона и почему гос эксперту надо знать физику, историю и уметь пользоваться измерительными приборами, а не брать данные из рекламных проспектов.
Уважаемая Алёна Александровна, всем все ясно. Губернатор Орловской области Вадим Потомский и так заявил, что Иван Грозный ехал из Москвы в Петербург. Куда же гуманитарнее? А мы еще физику от автоэкспертов хотим ... :(
Уважаемый Владимир Николаевич, с Александром Кулешовым в 1929 и останемся. Роснано, Сколково, ДАМ… Ничего они не дадут, а только заберут.
Добрый день всем! Вставлю свои 5 копеек.
Пока все будет поставлено на поток, делающий деньги, тобиш бизнес в его самом циничном понимании (в России только циничное, криминальное понимание работает) у нас будет работать чиновничье-бандитская беловоротниковая шушера под прикрытием гос.структур, и мы дойдем до уровня крепостного сознания. В самом деле 99% населения уже на уровне крестьян 1917 года. Хлеба и зрелищ. Ничего не нужно подавляющему большинству. Какая наука и образование? О чем вы?
Чтобы отдать ребенка в школу сначала найми репетитора! Он должен уметь писать, читать и много всего. В начале 90-х все это делали в школе. Для чего тогда учителя? Для репетиции за деньги. Им же тоже жить надо, а не з/п получать.
Всех поглотила алчность. Образование платное, все продается и покупается.
Что говорить если руководство ГУ СК России прикрывали вора в законе Шакро Молодого.
ИМХО лучше не будет, так что затянем пояса.
Уважаемый Сергей Вячеславович, слишком уж пессимистично)))
Уважаемый Дмитрий Владимирович, нет особых поводов для радости относительно России.
Только близкие люди радуют.
Уважаемый Сергей Вячеславович, да все у России будет хорошо) главное, чтобы близкие радовали…
Уважаемый Дмитрий Владимирович, может быть у избранных и будет все хорошо. У них всегда все хорошо.
У простых смертных никогда не будет ничего хорошего. Не бравируйте.
Уважаемый Сергей Вячеславович, будем откровенны — простые смертные никогда хорошо и не жили, особенно в СССР или царской России. Говорить что стало совсем плохо это не так. Фразу " вы там держитесь" можно применять в любой исторический период. А сейчас все же не так страшно, как при Сталине например
Уважаемый Дмитрий Владимирович, конечно не так страшно, как при Сталине, но не вижу ничего радужного. Чиновники и подконтрольные им люди, криминал не дадут развиться бизнесу. Живи на зарплату, если не хочешь чтобы тебя трогали.
Не хочешь жить на з/п находи связи и выходы на тех же чиновников.
Вот что в Воронеже творят: http://4pera.ru/..._nego_dal_taksist_iz_vendetty/
Уверен на 100% что дело замнут.
Но как раз при Сталине для простых смертных было равенство, не было олигархов в принципе.
Согласен, что могли убить ни за что без суда и следствия (А СЕЙЧАС НЕ МОГУТ?), или в ГУЛАГ отправить, но если ты обычный крестьянин, который не из кулаков, не еврей, не священник, то врядли тебя тронули бы.
Я конечно против держания в рабах людей в колхозах, но сейчас ведь тоже самое на работе у работодателей. Никаких прав нет. Даже оформлять нормально не хотят. З/п в конверте, а так минималка 7000 руб.
Уважаемый Владимир Николаевич, спасибо за очередную статью. Я не эксперт и не решу подобную задачу, да оно мне и не надо.
Моя задача понять ход рассуждений, знать, что есть возможность решений подобных задач и в чем заключаются особенности решения этой задачи.И вот когда в очередном деле я увижу все эти составляющие, то моя задача будет заключаться в том, чтобы проинформировать Доверителя о том, что в России есть такой человек, эксперт Никонов Владимир Николаевич и для качественной защиты по делу необходимо обратиться к нему за помощью. Вот это и будет называться профессиональным подходом к решению задач.(handshake)
Уважаемый Евгений Алексеевич, большое спасибо за поддержку!
Уважаемый Владимир Николаевич, как-то по ходу комментариев я уже не раз рекомандовал Вас, а вот так, чтобы своего Доверителя напрямую, пока не довелось. Но всё ещё впереди!
Ваши голоса очень важны и позволяют выявлять действительно полезные материалы, интересные широкому кругу профессионалов. При этом бесполезные или откровенно рекламные тексты будут скрываться от посетителей и поисковых систем (Яндекс, Google и т.п.).
Дорого, но зато качественно. Все встречи и консультации, в т.ч. дистанционные только по предварительной записи.
Защита по сложным уголовным экономическим делам.
Борьба с фальсификациями и незаконными методами расследования. Опыт, надёжность, добросовестность!
Консультации, дела.
Действую с интересом, спокойно и тщательно, очно и дистанционно.


Уважаемый Владимир Николаевич, зачем Вы даёте все эти формулы- закорючки, если подавляющее большинство посетителей форума не могут это осмыслить.
Все знают, что живёт на свете НВН, который эти закорючки построит в ряд и люди в мантиях будут читать правильно ориентированный в пространстве текст поглядывая на синие мундиры, а те глядя на череду формул и хлопая глазами будут излагать правильные речи.
А перед этим служители ССО будут делать тоже самое не понимания разницы между меду термином
— путь за время торможения с момента обнаружения опасности и термином
— тормозной путь.
Фарс.
Но вы тут держитесь, мы вам еще инструкций и законов напишем.
Что сказать-то хотел. Орёл или решка, — вот конечный результат.
подавляющее большинство посетителей форума не могут это осмыслить
Уважаемый Александр Валерианович, Вы меня радуете. Как, неужели, откуда у нас чхуны?
:)
Уважаемый Александр Валерианович, если эти формулы осмыслит хотя бы один эксперт, за ним и другие подтянутся, конкуренция в нашем случае двигатель науки в массы! :) Я вот уже знаю несколько экспертов, которые вслед за мной, начали изучать статьи Владимира Николаевича, будем надеяться и применять начнут. У меня вот уже по одной экспертизе вынесли решение, суд принял расчет по Crash3. Местные адвокаты тоже начинают узнавать о таких возможностях и берут на вооружение! Правда есть и обратная сторона, если они знают/видят, что их клиент значительно превысил скорость, просят мне экспертизу не назначать! :)
Уважаемый Артем Данилович, так держать!
Что сказать-то хотел. Орёл или решка
Уважаемый Александр Валерианович, орёл, всегда орёл. Если, конечно, носителя орла на фуражке не поймали на чем-нибудь, как у ясновидящих было. Крепостное право — наши скрепы. А Вы какое право хотели? Чай, не в англиях живем :(